���x��Һ�w�����x��Һ�w���؏͆�Ԫ��һ�늽��|������x��Һ�w�Ī������|�߷��ӵ����W���ܣ�����늌��ʸߡ�늻��W���ڌ����]�l�Ե͡��᷀���Ժõȃ��c�����������_�l����������늽��|�����P��������O�䡣����о����x��Һ�w���z늽��|�ĺϳɼ������ܾ�����Ҫ���x��
��������������������W���W�c���ӹ��̌WԺ��ï�ֽ����n�}�M���æ��侀ݗ�䷽������1-��ϩ��-3-����������������}(CnvimPF6)����w��1,1''-(1,6������)-�p(3-��ϩ������)���������}�齻�������̼�������܄��Ƃ�õ��ЙC���x��Һ�w���z(PCnvimPF6)�����о�����ݗ��ۺϡ�����Ҏ����������x�ӆ��w�е�����Խ�LԽ�����ڽ����� (�D1)�����ط���(�D2)�����γ����z늽��|�����z늽��|�ğ᷀�����������@��ߡ�
�D1 PCnvimPF6 �����z�֔���ƽ����Û���c���Մ������Pϵ
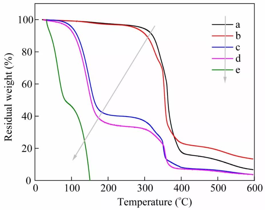
�D2 (a) PC6vimPF6 �����z; (b) PC12vimPF6 �����z; (c) PC12vimPF6 ���z; (d) PC6vimPF6 ���z; (e) ���̼�����܄���TGA����
�ڴ˻��A�ϣ��چ��w��Һ�м�����������䇣�һ��ݗ�䷨�Ƃ�õ��H֬�Ե�PCnvimPF6-LiPF6���z늽��|(PCnvimPF6-Li GPE)(�D3)��
�D3 PCnvimPF6-Li GPE�ĺϳ�ʾ��D
ݗ��ϳɵ�PCnvimPF6-Li GPE�������õ����W���ܺ��x��늌��ʣ�ͨ�^��׃���w����L�ȣ����w��������ȿɃ����ϳ����z�����ܡ�����������L�ȣ����w��ȼ����������������ߺϳ����z�����W����(�D4)���pС���w������������늌���, ���������Ӱ푲���(�D5)���о�������PCnvimPF6-Li GPE�����W������Ҫ�c���ܶ����P����늌�����Ҫ�c���x��Һ�w�W�j�����Ƅ��x�ӺͰ����܄��ı������P��

�D 4 ���w��ȼ�����������PCnvimPF6-Li GPE���W���ܵ�Ӱ�

�D5 ���w��ȼ�����������PCnvimPF6-Li GPE늌��ʵ�Ӱ�
���ҕ��Tʿ�о�����ԓՓ�ĵĵ�һ���ߣ���ï�ֽ�����ͨӍ���ߡ�ԓ헹����õ�������Ȼ�ƌW����(����̖11375019)���Y����
Փ��朽ӣ�http://www.gfzxb.org/article/doi/10.11777/j.issn1000-3304.2017.17210
- �Ĵ���Wţ�G�A����/�����ڈFꠡ�Macromolecules������������x��Һ�wǶ�ι������𤏗�О���x�ӂ�ݔ���� 2025-12-27
- ����������ƽ/�܋���c˹�¸砖Ħ��WJiayin Yuan����ACS Macro Lett.: �ؿء��_-�P������������x��Һ�w���� 2025-04-25
- �|�A��W������/�����F� Angew: ��-���{���H�Ծ��x��Һ�w�����\��늳� 2025-03-18
- �㽭��Wë���������n�}�MAdv. Mater.��һ�Nͨ�õľ�늽��|-�i�����ԣ�����ͨ�����|��������չ�_����ճ�τ��Ԍ��F���ٷ����ĽM���ܷ� 2025-12-25
- �������/̫ԭ�������P���F� Macromolecules���}���s��늽��|ˮ���z�ڟ�̼��µķ�ƽ��푑��О� 2025-12-11
- �A��������W�ב����� Macromolecules��ͨ�^������늽��|늺������{���p늌���������� 2025-07-21