�l��Һ����߰l�����ܺ�Һ������������ȡ�����ԫ@�þ�/�Aƫ��⡣��ԓ����Ƃ�õ������������и����ɫ��Ͷ��������V��ҕ�������ߵČ��ȶȺ��͵��ܺģ���Һ���@ʾ���ЙC�l����O�����Aƫ��l��������������W��Ϣ�惦�ȷ�����Н��ڵđ��������y�İl��Һ�������ھۼ��B��̑B��Ĥ�����a���ɹ�⧜����������䌍�H���a�еđ�����ͨ�^�����ۼ��T���l�⡱��AIE��Ч������l��Һ�����Խ�Q�ۼ��B��̑B��Ĥ�ɹ�⧜熖�}���õ���Ч�İl��Һ����
��AIE���F����Һ���߷��ӂ�朲��H���Խ�Q�ۼ��B�ɹ�⧜熖�}�������܉��Mһ��������Һ���߷��ӽY���c���ܵ����⡣ᘌ�ԓ���}����̶��W�x�Q�ǽ����n�}�M�����ڴ�W�������n�}�M��������AIE�͡��ך�Ч�����Y�Ϙ���һ�Nȫ�µİl��Һ���߷�����������AIE���Ե��ı���ϩ����Ȼ�������һϵ�С��ך�Ч�����ĸ�Ч�l��Һ���߷��ӣ��õ��Ć��w���ۺ��������ۑB���ܰl���^���ğɹ⣬��D1��ʾ���Y�����������еĆ��w�����FAIEЧ������l������Ч�ʞ�5%~2%�����еľۺ��ﶼ���оۼ��T������Ч�����S���g�������L������Y���ɽ���A��(SmA) (Pms, m= 2, 4, 6)�D׃������������Y��(ColH) (Pms, m = 8, 10, 12.)����SmA �������l������Ч�ʏ�52%����32%������ColH���У��l������Ч�ʏ�27%������18%�����P�о��Y���l���� Macromolecules (2017, 50, 9607-9616 )������̶��W�Tʿ�����P��Փ�ĵ�һ������ͬ�rԓ�����õ��˱�����Wꐠ���������֧�ֺ͎�����
�D1. AIE���|���ך�Ч�����ĸ�Ч�l��Һ���߷���
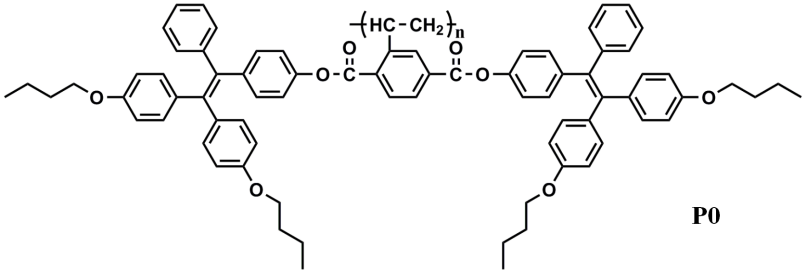
�������������g�����L�ȵĿs�̣�����w�;ۺ���İl������Ч����u���������Mһ����������Ч�İl��Һ���߷�������̶��W�x�Q�ǽ����n�}�M�c���ڴ�W����������ۿƼ���W�Ʊ��ҽ��ں�����ȥ���������g������ֱ����������̼-̼���I��TPE�ӵ�����ϩ��2,5λ���ϣ��õ��ɷN���wM1��M2����D2��ʾ��M1ͨ�^���ɻ��ۺϵõ�������P0����M2��Ҫ�ڿ��̵ėl���²����γɹ�����P1~ P3�����Y�����������I�Ĵ��ڌ���M1��P0���ڹ�����D��(PET)Ч�����Ķ�����M1��P0�ɹ�⧜磬��M2�����ﲻ����PETЧ����M2��������F���ҵİl�����|��M2�ɹ�����Ч�ʸ��_28%��P1~ P3�ğɹ�����Ч�ʞ�18.4~24.3% ����XRD�yԇ�Y����������ۺ��ﶼ�ʬF���͵�Sm����ԓl�����������õļӹ��Ժͳ�Ĥ�����Mһ��ͨ�^�{��ӡ���������˟ɹ�D��������ԓl��Һ���߷����ڹ�늺�������������о��Б��Ãrֵ�����P�о��l���� Macromolecules (DOI: 10.1021/acs.macromol.9b00221)����̶��W�Tʿ�����������ۿƼ���W�n�ò�ʿ��Փ�ĵĵ�һ���ߣ�ԓ�����õ������ڴ�W����ʿ�Ď�����


�D2.����PETЧ���ĸ�Ч�ɹ�Һ���߷��Ӽ���ɹ�D��
ͬ�Ӟ�����PETЧ������̶��W�x�Q�ǽ����n�}�M���Ú��I������һ����Ӱl��Һ���߷�������D3��ʾ������ͬĦ���ȵĚ��I���w���ı���ϩ������͚��I�o�w���ۺ���M�й��옋����һϵ�еİl��Һ���߷������Y��������С���Ӛ��I���w����Ħ������x��������Y�����l�䲨�L�Ͱl������Ч�ʾ��a�����@��Ӱ푡���x��0.8�r��ԓ�Һ���߷����γɌӠ�����0.6��x��0.05�r���γ���������������x��0.025���γɟo���ΑB��ͬ�r���S��x�Ĝp�������S��Һ���߷��ӵİl�䲨�L�ļt����������������ऻ��F���|���������µĿ����|�ӻ�������ʹԓ�Һ���߷��ӱ��F�������׃ɫЧ�������P�о��l���� ACS Appl. Mater. Interfaces ( 2019, 11, 15051�C15059)����̶��W��ʿ�������ʹTʿ����������Փ�ĵĵ�һ������ԓ�����õ��˱�����W��־���������P����ʿ����̶��W��ƽ��ʿ��֧�ֺ͎�����
�D3. �����Ә����İl��Һ���߷��Ӽ���׃ɫ���
ԓ�����õ��ˇ�����Ȼ�ƌW����ί�ͱ������ӿƌW�����о����ĵ��Y����
����朽ӣ�
https://pubs.acs.org.ccindex.cn/doi/10.1021/acs.macromol.7b01605
https://pubs.acs.org.ccindex.cn/doi/10.1021/acs.macromol.9b00221
- ���ֲ�����/��ʯ�l���������Ʊ���������b�� Chem. Sci.������Ȼ������w���O��/�ྦྷ��푑���BioAIE���ܷ��β��� 2025-12-17
- ���д����ڣ��Ʊ��ҽ������w������/�ۿƴ��֘s�I���ڈF� Matter: �������w����AIEgens�ڄӑB��Ϣ�����c���ܵđ��� 2025-07-28
- ���ֲ��������������Ʊ���/�����\�F� AFM: �������Ȼ������w����TICT���Ե��p����BioAIE���� 2025-07-22
- ������ڈF� Adv. Mater.�����Ტ�� - �c������Һ���߷��� 2026-01-08
- �пƴ��T�� Small Struct.: Һ������´��Ч������Һ���߷����ӵ��������� 2025-05-12
- �ۿƴV�ݣ������n�}�M�\�в�ʿ�� - �߷��ӡ����W���������Cе��������2025���^��2026�괺����W�� 2025-03-08
- �A�д������F���ڈF�Macromolecules���ı���ϩ혷����͌���朸߷���Һ�����О��Ӱ� 2021-12-03