�߷���ˮ���z���_�����{�ď��s׃�����˹����⡢ܛ���|�C���ˡ�������������I�������Ҫ���x�������̼��£����ڃȲ��Y�������|�ĸ����ԣ�ˮ���zͨ�^�Ȳ���Ե���Û�О錍�F�Π��D׃������3D��ӡ����̵ȼ��g���ɾ��_�{��ˮ���z�Ȳ������ԵĿ��g�ֲ������F���s��3D/4D׃�Ρ����ǂ��y����ͨ����ه�ھ��ܵĹ���ģ���ģ�ߵ��OӋ�ӹ���ˮ���z�ĸ��������ض���ģ��Y���Q������ˣ�����ø��Ӻ��ζ���Ч�ķ����������о��ܽY����ˮ���z���������F�ɿصď��s׃�Σ���Ȼ�DZ��I�����Ҫ�n�}��
��ɽ��W�������ڈF��lչ��һ�N�����x�Ӵ�ӡ�ķ�����ͨ�^����ˮ���z�Ȳ������W���|�͜ض�푑����|�Ŀ��g�ֲ������F���z���١����桢�ɿص�3D/4D׃�Ρ�ͨ�^�@�N����������ˮ���z��ģ����푑����|�������Էֲ������F�ض��´̼���ˮ���z�l���ۯB׃�Σ��D1����
�D1.(a)�x�Ӵ�ӡ����������푑���ˮ���z��(b)���S׃�Ρ�(c)�ۼ�׃�Ρ�(d)����צ��
�D2. a��ˮ���z���W�Y����(b)Fe3+�x�ӽ�ǰ���ˮ���zʾ��D����c����Ƭ�Լ���d��e��������R�D��f��Fe3+��ǰ���ˮ���z�ĉ��sģ������g��h��Fe3+��ǰ���ˮ���z��LCST���ض�푑��ٶȌ��ȡ�
�����Fϳ���һ�N�ۣ�N-��������ϩ����-co-����ϩ���c��ˮ���z���D2a��������N-��������ϩ������NIPAM����ˮ���z�ṩ����Ĝض�푑��ԣ�����ϩ���c��NaMAc��ʹˮ���z���c�����x�ӽj�ϡ���ˮ���z���������r�F�x�ӣ�Fe3+�����c�Ȼ��j�Ͻ����D2b����ˮ���z�w�e�տs���D2c������׃���ܣ��D2d��e��,ģ�����ߣ��D2f��,�����أ�LCST�ضȽ��ͣ��D2g�����ض�푑��ٶ�׃��(�D2h)��
�����x�Ӵ�ӡ���g���Ը��F����ꖘO������늻��W����ጷ�Fe3+�x�ӣ�ʹ����ˮ���z�ľֲ��M�нj�Ͻ����ھֲ��a���ȑ���������׃�ֲ��ض�푑����|���γ�ģ���͜���������(�D3)�����У��ȑ���ʹˮ���z���x�Ӵ�ӡ����׃�Σ��D3b������Ҫ�����ֲ��x�ӽj�ό��½��ܶ�׃��׃С���D3c�����x�Ӵ�ӡ��ȿ�ͨ�^��ӡ�r�g���D3d���ʹ�ӡ늉����D3e�����{����ˮ���z�ď����̶�Ҳ����ͨ�^��ӡ�r�g���D3f���ʹ�ӡ늉����D3g�����{�ء�
�D3. a��ꖘO����ጷ�Fe3+ʾ��D��Fe3+��ˮ���z�ֲ��j�ϣ��a���ȑ�������������b����c���x�Ӵ�ӡˮ���z����Ē�����R�D��d-e��ͨ�^����ͨ늕r�g��늉��{�����z��Fe3+���^�����ȣ�f-g��ͨ�^����ͨ늕r�g��늉���ˮ���z�䷽�{���x�Ӵ�ӡˮ���z�ď����ǡ�
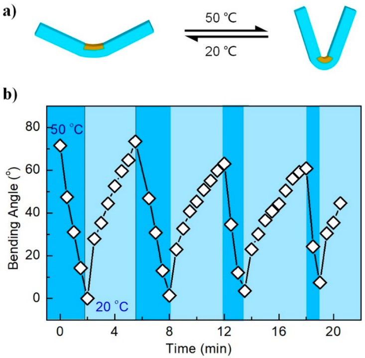
�@�N�x�Ӵ�ӡ������ˮ���z�����ؕr�Mһ�������ۯB�������������_70�ȣ����ؕr��ˮ���z�揈���֏͵���ʼ��B���D4����ԓ�ض�푑��О��ǿ���ġ�
�D4. �x�Ӵ�ӡˮ���z�ڜضȴ̼��µĿ��揝��׃�Ρ�
�ڴ˻��A�ϣ������ʽ늘O����ꖘO���D5a�����ɾ��_�ؿ���Fe3+��ˮ���z�������Էֲ����c�Ȼ��j�Ͻ����a�������Եĸ����ԽY�����D5b�������Ҝ��£��@Щ�D���е������ԃȑ�����ˮ���z��ƽ���B�����������Π�D5c�������^������OӋ�x�ӽ��l�y�ĽǶȡ��g��ȅ��������F�ˌ������Y�������ԡ��ݾࡢ�Aб�ǡ�ֱ���ȅ����Ŀ���(�D5c)��
�D5.�x�Ӵ�ӡˮ���z���S�����Y����a�����ʽ�F늘O��ӡˮ���zʾ��D��b��ˮ���z���������ԡ��ݾࡢ�Aб�ǡ�ֱ���ȅ�����c��������ˮ���z��Ƭ��
��һ���棬ˮ���z�е��������x�ӽ��j���x��ض�푑��Ե������Էֲ�����ˣ������������Y�����ڜض�׃���h���r������ֱ�����ݾ�ȽY������Ѹ�ٰl�������D׃�����ض��T�����S�Y����׃��Ҳ�Q4D׃��(�D6)��
�D6. ����ˮ���z�ڜضȴ̼��µĿ���4D׃�Σ�gif��
�������ضȴ̼���4D׃���c���ۼ�ˇ�g��origami���Y�ϣ����F��ˮ���z�Ŀ����ۯB׃�Ρ��OӋ��һ�Nģ�M����_-���^�̵�ˮ���z�ۼ����������e�Ľ����x�ӽ��x����ˮ���z���潻��ĸ�����(�D7a)������x�Ӵ�ӡ�a������ăȑ���ʹˮ���z�ʡ��㡱�������Ĝض�푑����|ʹ���㡱�����ؕr���P�]�������͜ض������@�N�P�ϵġ��㡱���¡����_�����D7b����

(a) (b)
�D7.��ˮ���z����-���潻��ؘ��������x�ӽj�Ͻ���a�������Fˮ���z�ġ����ۯB׃��(b)��
�����@�N�Y���OӋ˼�룬߀���Է���ؘ����ض�푑���ˮ���z��צ�������ؕr��ˮ���zצ�ď���׃�Σ�ץȡ���w�����ؕr��צ���_�����F����ጷţ��D8����
�D8. �x�Ӵ�ӡ����ˮ���zצ
�@�N���θ�Ч�ķ����܉���ˮ���z�Юa�������ԵĽY���������ڌ�늘O�Y�����OӋ�Ϳ��ƣ��܉����ԵĽY�����ֲ����M���{�أ�������Ƃ���о����s�Y����ˮ���z��ԓ���������OӋ���Ƃ���Џ��s׃�����������О��ܛ���|����������Ҫ���x��
ԓ�о��ɹ��ԡ�Programmable and Reversible 3D-/4D-Shape-Morphing Hydrogels with Precisely Defined Ion Coordination�� ���}�� �l����ACS Applied Materials & Interfaces�ϡ�
ԓ�о������õ�������Ȼ�ƌW�����Ŀ�Y����51873224����
����朽ӣ�https://pubs.acs.org/doi/abs/10.1021/acsami.0c06342
- ���t��һ��Ժʢ�������/�A�ƴ��R������ AFM�������˷������ˮ���z�NƬ-�ڼ���p���ί�����ȡ�����Mչ 2026-03-02
- �������/̫ԭ�������P���F� CEJ���A���l��ú�Ҵ��ď��g�ͺ�ˮ���z�Ŀɳ��m�cҎģ���Ƃ估�䑪�� 2026-02-28
- UCLA �R�������ڈF� Adv. Mater.���ġ�朶��\�ӡ����� - һ�Nˢ�¸���ͬ�Լo䛵ij����gPVAˮ���z 2026-02-26
- �A��������W�����x����/���ڴ�W���A�� Nat. Commun.�������o늷��o�Ŀ��ГQ���-�^���B�����늾ۺ��� 2026-02-16
- �Ĵ���W������/�_�B���о��T�F� Mater. Today : ���ۆ��l�ğ����ճ�τ����F���������ˮ��ճ�� 2025-12-29
- ����ҷ��ڽ��ڈF� AFM���o�܄��錧�ğ����Ծ۰����ͺϲ���-���з���������ğ�ɹ�푑� 2025-12-05
- �L��������ꐌW˼/���@/����� Nat. Commun.�����ڸ��������Ʋ��Դ��������ͭh�������c�h�������ɿع���-�ϳɸ߷��������ɻ��W���վ��� 2026-02-16