С���F�D׃(Coil-to-Globule)�Ǹ߷��������е����|���θ��߷���朾ͱ��F����׃�����|�������@�N�D׃�c�S����Ȥ����Ȼ�F�����P����DNA�͵����|���ۯB�����z�W�j��齿s�Լ��߷���會ȽY������һ�������Zؐ�����@����de Gennes�о��ˆθ��߷���朣�N1����ͬ�N���|�ĸ߷����܄���N���И������l�F�ڶ���܄��У�N1>N2�����߷����̎����Û��B�����L��܄��У�N1<N2�����ų��w�e�������ζ�ʹ�ø߷����̎�������B�������Ǹ߷��������зdz�����ăɂ����}��
������W�����n�n�}�M�c���������WԺ����V���ڌ����σɂ�����ĸ߷������톖�}���]�Mȥ���о����ڸ߷����܄��µľۺ��タ�F��С����D׃�����^5�����о�����ʾ���D׃�c�c���|��LN1���܄���LN���m�Ę˶��Pϵ�������һ���µĘ˶ȅ���x =N3/2b3/N1vm���@�����������dz����_���������x�����܄��ռ�����w�e�c���|��������w�e�ȣ�����ͨ�^���m�ļs�������挒�ȡ����ĝ���Լ��ۺ���С����ܶȷֲ������F�����m�Ę˶��Pϵ���о��l�F߀��Փ���ڶ��߀�����L朅^���������挒���c�˺���ஔ�ĕr���¾��F��С����D׃��
1. �����C-G�D׃:
�ڶ���܄������߷���С���F�D׃�c��С�����܄��������ͨ�^��Lifshitz��Փ�ƏV����朸߷����wϵ�����Եõ��D׃�c�c��L����ه�Pϵ��(��N)tr-1/2~N1-1/2N3/4p3/4������p=b2/vm2/3�鄂�ԅ��������@һ��L��ه�PϵҲ����Ǣ����Փ��SCFT�����C��������Ǣ����Փ����N �� 20����׃���׃��һ����׃��
2. �L���C-G�D׃:
���L��܄����������܄����L���������|�߷��ӽ���߀Ҫ�L�ĕr���y��Û���|�����Lifshitz��Փ���m�������L��wϵ������Ǣ����Փ�������L��wϵ��L��ه�Pϵ��(��N)tr-1/2~N1-2/3Np���@����L��ه�Pϵ�c����в�ͬ����Ҫԭ���������L��wϵ�������|�c�܄�֮�g������D���c�������ӽ���ͨ�^��������ՓҲ�C�����@����L��ه�Pϵ��
3.���m����L�˶��Pϵ��
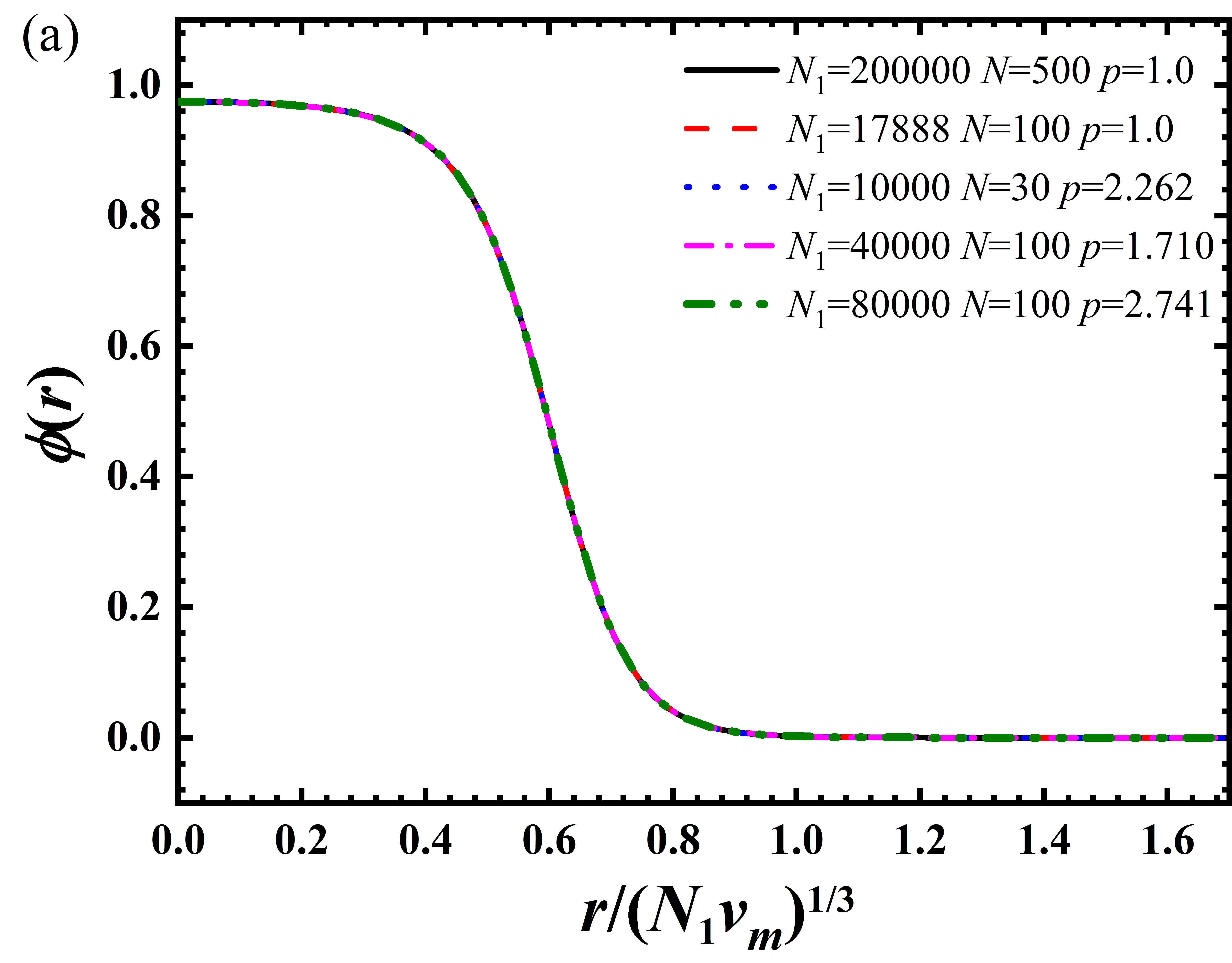
�������ϽY�����ڶ���wϵ���D׃�c��(��N)tr-1/2~N1-1/2N3/4p3/4�������L��wϵ������L��ه�Pϵ��(��N)tr-1/2~N1-2/3Np�������l�F�mȻ�ڶ�机��L����cN1��N���Ѕ^�e�����ǃɂ�ʽ�Ӷ�������ͬ�ĽM��N1-1N3/2p3/2�������������Ȼ�������һ���˶ȅ���x =N3/2b3/N1vm������机��L��wϵ�yһ�������õ��ˮ�x<<1�r��(��N)tr-1/2~x1/2������x>1�r��(��N)tr-1/2~x2/3���@��Ҳ��������Ӌ�����C������D1����ͬ�r����������@���˶ȅ������зdz����_���������x�����܄��ռ�����w�e�c���|��������w�e����
�D1���D׃�c�yһ����L�˶��Pϵ����ɫ���c��ʾ��ͬ��N1��N�tɫ���c��ʾ��ͬ�Ą��ԅ�����
4.�������|�Ľyһ�˶��Pϵ��
��������Ę˶ȅ���x =N3/2b3/N1vm������Ȼ�Ŀ��]���������|����С����ܶȷֲ������挒�ȵ��Ƿ�Ҳ���Ͻyһ�Ę˶��Pϵ������С��ď����ܶȷֲ���(r,��,N1,N,b,vm)���������m���ļs����[r/(N1vm)1/3,��N,(pN)3/2/N1]���õ����ܶȷֲ�����D2�����Y��������ͬ�����l���µ��ܶȷֲ���ȫһ����

�D2����ͬ�����l����С��ď����ܶȷֲ������^�m���ļs������ͬ������С����F���yһ�ķֲ���
ԓ�����ܵ�������Ȼ�ƌW���������Ŀ��21973051����֧����
ԭ��朽ӣ�https://pubs.acs.org/doi/full/10.1021/acs.macromol.1c01748
- �ӱ��������������ڈF� Small: ͨ�^����������Ì�����С����ԭλ�^�����ۺ���������γɷ��������ޏ͵Ķ��ˮ�Ծ۰��� 2025-02-20
- ��ʮ���d�����������W���Ǻӽ��ھ��������ۺ���朳����ӽM�b�c���ܻ�: �ך���Һ���ۺ������ 2025-01-14
- ��۳��д�W���䴺�����n�}�M Angew��һ�N���͟o�����������r��̼��朾ۺ���ξ����Ƃ䡢���w�Y����W���| 2023-12-23
- �A��������W���Ӿۼ��l���о��F��\Ƹ���Y��ʿ�� - �����������ذ�܊���w���������������־�����T��ѩ���β� 2025-05-21
- �п�Ժ���W���Z���n�}�M Nat. Commun.���������������{�؎�늏ͺ�ˮ���z����𤏗���|�²��� 2024-05-05
- �Ͼ���W���ı����ڽ̌WՓ�Ľ�B�������߷���朽Y�� �� 2024-04-09