ú̿��ʯ�ͺ�������ʯ�YԴ�Ĵ����ݽ��Լ�����Ȼ�h���������Pע��ʹ�����о����D��������YԴ������ľ�|�w�S�ص���Ҫ�ɷ���ľ�|�������S������Ȼ������䪚�صķ�����Ժ�̼����ʹ����п��_�l�ĝ�����
��ʯ�������䪚�صľ��w�Y�����S����Lewis and Br?nsted acid sites��������C-O�I��������ľ�|�ش�����Ƃ���A���WƷ�����ܵ��V���Pע�������y����ʯ��������������ľ�|�ش���Ӻ��y�M��Ȳ�����λ�c���Ķ����±���e̼�ʹ���ʧ������ˣ���Ҫ�_�l���н�ķ�ʯ/��ʯ���Ʒ����Ч���ľ�|����ȡ�߸���ֵ���WƷ��
���������������������V����W��־�Y���ڈF���ƫ�ߎX�����V�����cˮ��������Ҫԭ����������ׄ����������݄����_�l��һ�N�o���ν���|�ۺ���K��geopolymer monolith, GM��������Fig. 1���������״����ډAľ�|�ش�������Ƃ���������ԓ�Ǿ�������܉���Ч���ڵ�̼���܄��Ќ�ľ�|�ؽ�۳ɷ������o����ӷ��Ӛ䡢���ӄ�����������
Fig. 1 Schematic diagram of the GM preparation.
���ϱ���


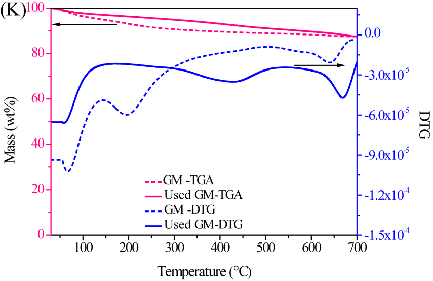
Fig. 2 SEM images: GM (A, B), and used GM (D, E); EDS results: GM (C), and used GM (F); pore size distribution (G); XRD patterns (H); NH3-TPD (I); FTIR spectra (J); TGA-DTG curves (K) of the GMs.
���ߌ��Ƃ��GM�����M����ϵ�нY��������Fig. 2����SEM�D��Fig. 2A, B��������չ�F��GM�Ķ�Y�������д����Ĵ�Ϳ�ǻ��ֵ��ע����ǣ���ʹ��ľ�|�ؽ���^���н��ܐ��ӭh������ߜغ߉�����GM�Ķ�Y���Ա��ֲ�׃��Fig. 2C, D����XRD��Fig. 2H����FTIR��Fig. 2J����TGA-DTG��Fig. 2K������Ҳ�C����GM�������õğ᷀���������ֲ�������Fig. 2G��������ͬSiO2/Al2O3���ʣ�2.5~4.5����H2O2������0.8~1.2%�����Ƃ��GM��8.83~22.16 nm�������@ʾ���S���Ľ�ס�EDS�Y����Fig. 2C, F���C����GM���X�����}���|���^�͵Ĺ��X�ȱ���GM�����S��������λ�c����NH3-TPD����ָ��ԓGM��1.0% H2O2��SiO2/Al2O3=3.5�����������^���������µĵ��|�ۺ���K�����S���ď���λ�c��ʹ������ľ�|�ش�����Ƃ����WƷ������о�����
���������̽��
Fig. 3 Effects of H2O2 dosage (A) and SiO2/Al2O3 ratio (B) on the catalytic activity of GM for lignin depolymerization (0.2 g lignin, 0.1 g GMs, 280 ��C, 8 h, and 16 mL methanol); effect of GM dosage on the: (C) yield of monophenols and (D) selectivity of monophenols (0.2 g lignin, 280 ��C, 2 h, and 16 mL methanol); effect of reaction time on the: (E) yields of monophenols and (F) selectivity of monophenols (0.2 g lignin, 0.1 g GM, 280 ��C and 16 mL methanol); effect of reaction temperature on the: (G) yields of monophenols and (H) selectivity of monophenols (0.2 g lignin, 0.1 g GM, 8 h and 16 mL methanol); effect of solvent volume on the: (I) yields of monophenols, (J) selectivity of monophenols (0.2 g lignin, 0.1 g GM, 280 ��C, and 8 h); and (K) catalytic activity of GM during 3 cycles (0.2 g lignin, 0.1 g GM, 8 h, and 16 mL methanol).
�����xȡ���������к����^���S����guaiacol, 2,4-di-tert-butyl-phenol, 4-ethyl guaiacol, 4-methoxy phenol, isoeugenol, 3/5-methyl guaiacol, 4-methyl guaiacol, 4-propyl guaiacol, 2,6-dimethoxyphenol, �� 2,6-dimethoxy-4-methyl phenolʮ�N�η������о�ָ�ˣ�Ԕ��̽����GM���Aľ�|�صĴ�������������ȴ_�������GM�䷽���^��������������1.0%��SiO2/Al2O3=3.5�r���������܉��_��74.69��1.00 mg/g�������J��GM�������صĽ���S���Ļ���λ�ąfͬ���Þ�ߴ�����������ؕ�I�����⣬����߀�о���GM���������������r�g�������ضȼ��״��w�e����������ܵ�Ӱ���GM���܄��ֽ��^���з�������������ͨ�^�ü״���ˮ��ϴ�����Ȼ����500 ��C�՚����џ��������Ԃ��´�ʹ������Fig. 3K��ʾ��������ѭ�h�������ηӵĮa�ʏ�74.68 mg/g��u�½���67.17 mg/g��59.70mg/g������GM�Ĵ�����ÿѭ�h�p�pʧ6.69%��
�C���о�

Fig. 4 FTIR spectra (A), 1H NMR spectra (B) of alkali lignin and the char with GM catalytic depolymerization; and proposed mechanism of alkali lignin depolymerization by the GM catalyst (C).
ͨ�^�t���1H�˴Ō�����ۙC���M�����C���c�������t���V�D����������GM������Ч�ش������I�����a�������G�͆η���GM�����ľ�|���^���Юa����ȥ������ȥ��������������1H-NMR�V�DҲ��C��FTIR�Y�����C����GM��ľ�|�ص���Ч����������������������������GM����ۉAľ�|�صęC����GM��ʹ����ʹ��ľ�|�ؽ���^���з����廯������γ�������Fig. 4C�����״�����乩�w�����ṩ���|�Ӛ��܉���M�������B���ܵĦ�-O-4�I���Ȕ��ѡ�һЩ�;���������I���Ѻ�a��������2,2''''-�����p[6-������-3-��2-��ϩ�������ӣ�a���ͣ�2,4-����������������ͪ��b����Fig. 4C����Ȼ��;����ٷֽ��һЩ�������w��������ľ�ӺͶ��㴼���Y��������GM����ͨ�^�ѽ���Óˮ��Ó�䡢Ó����������������Ó����ȹ�����Ч�ش������ͻ�������D��������
�״��cGM�ĽM�Ϟ�ľ�|�ش���ۺ����a�߸���ֵ�ķ�������ṩ��һ�N���е�ģʽ���c��ʯ���F���ٴ��������ԓ�������д����ܺ����ϳ��^�̾Gɫ���ɱ��͵ȃ��c��ԓ헹��������a�˵��|�ۺ�����ľ�|�ش�����I��Ŀհ�����ϳɹ�ˇ���s�ķ�ʯ�ͳɱ����F���F�����ṩ�����Ʒ�����Ҏģ�Ј������ṩ�˿�����
���P�ɹ��ԡ�Catalytic depolymerization of lignin into monophenols over an amorphous mesoporous geopolymer monolith�����}�l�����s־Journal of Cleaner Production �ϣ�Փ�ĵĵ�һ���ߞ����x��ʿ�����ű���ͨӍ���ߞ���־�Y������
ԭ��朽ӣ�https://doi.org/10.1016/j.jclepro.2021.130115
- �Ϻ���ͨ��W�w��Ԫ�������n�}�M���Ƴ��Ե��|�ۺ���������|���̼�ͺϲ��Ϟ���A��̫����L�ܺ�ˮ�����b�� 2019-01-02
- �����о��ˆT���Ƴ����Gɫˮ�ࡱ 2010-09-29
- �|���ִ�����ع����½��ڈF� ACHM��ľ�|���T���ij������������������F�������ͻ�� - ���ƌ����cճ���Եġ����Y�� 2026-01-16
- ��ɽ��W�x�f�n�}�M Adv. Mater.�����ڿɾۺϵ����܄��ĸ�ľ�|�غ����W�j - ������ܛ�����ı�ݶ�߶��Ƃ� 2026-01-07
- �V����W���p�w�F����S���n�}�M AFM�����I�^��ľ�|��ľ���z�ϸ��������������h�� 2025-12-14
- �ӹ����eԪ���� Macromolecules���h����˨���ЙC��·��˹��A�� - ������ϡጵĸ�Ч�ЙC���������CO2�ͭh�����鹲�� 2026-02-26
- ��ɽ��W�ߺ�������n�}�M��Macromolecules�����s�������Q��-������懴����Ƃ������ϩ 2026-02-12