���ڣ�������W(xu��)���B����?q��ng)F(tu��n)�(du��)�ͱ������պ����W(xu��)���R˨���F(tu��n)�(du��)�\(y��n)�ý�����Փ����Ǣ��(ch��ng)Ӌ(j��)������о���ĩ�˽�֦�{�����ӵĻ�����������ڷǻ��Ը߷���ˢ��(n��i)��푑�(y��ng)���О鼰�D(zhu��n)�Q���ԡ����Ԇ�朵Ę�(g��u)���D(zhu��n)׃�ɵװ�Ķ̳��������|�l(f��)��
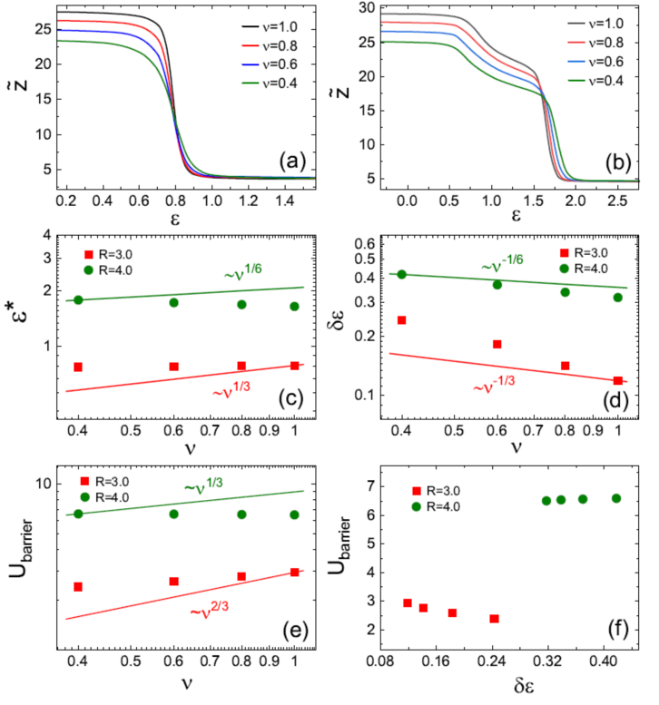
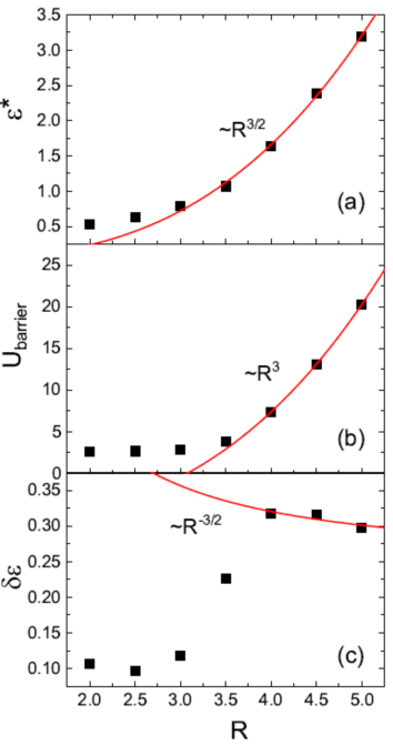
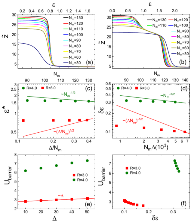
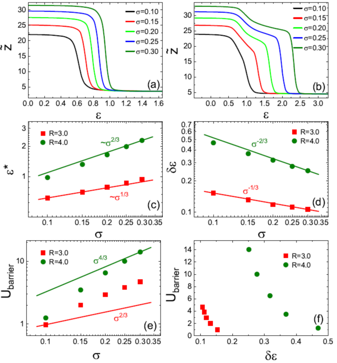
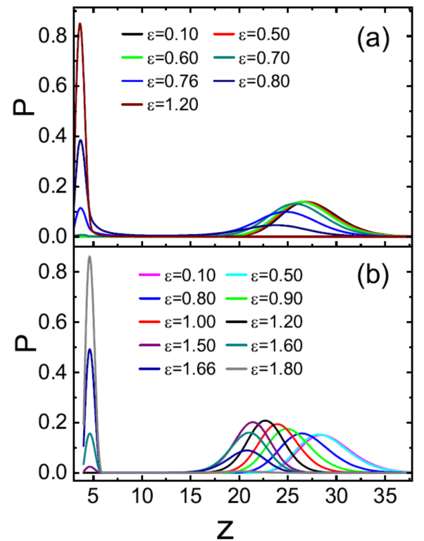
ԓ�������������˻���朘�(g��u)���D(zhu��n)׃���D(zhu��n)׃�c(di��n)���D(zhu��n)׃�������D(zhu��n)׃��(sh��)������׃�������Ķ������Դ��wϵ푑�(y��ng)���ԡ�ԓ�������c(di��n)�P(gu��n)עĩ�˼{�����ӵijߴ猦(du��)�wϵ���О鼰��׃���Ե�Ӱ푡�ԓ�о��l(f��)�F(xi��n)ֻ�Ю�(d��ng)�{�����ӳߴ�����r(sh��)����朵����О鼰�D(zhu��n)׃���Բű��F(xi��n)���cδ��֦�{�������wϵ���@��ͬ�����������˱����{�����ӳߴ��Ӱ����������x�˃ɂ�(g��)�R��ߴ� R* �� Rc��Ҋ�D1������(d��ng) R��R* �r(sh��)�����Ԇ�朴�����¶�B(t��i)�������B(t��i)�ɂ�(g��)�B(t��i)���ɑB(t��i)���D(zhu��n)׃?y��u)�һ�?j��)��׃��Ҋ�D1���Ϸ������@�N��r�cδ��֦�{���wϵ��������(d��ng) R��R*�r(sh��)���{�����ӌ���(hu��)��������ˢ�ӱ����γɰ���¶�B(t��i)��Ҋ�D1���·������@��(g��)�B(t��i)��С�����wϵ��δ��֦�{�������wϵ�Ǜ]�еġ��ڴ�������r������¶�B(t��i)������¶�B(t��i)���D(zhu��n)׃?y��u)���?j��)��׃������¶�B(t��i)�������B(t��i)���D(zhu��n)׃?y��u)�һ�?j��)��׃��Ҋ�D1���ς�(c��)�������⣬��(d��ng)R��Rc�r(sh��)�������׃�����c�h(hu��n)������(sh��)����ه�P(gu��n)ϵ����ˢ�ӽ�֦�ܶȡ��܄����|(zh��)����L(zh��ng)��������(du��)С���ӻ�δ��֦�{�����ӵ��wϵ�l(f��)�����@��׃�������˷����D(zhu��n)׃�����c�h(hu��n)������(sh��)���{�����ӳߴ���P(gu��n)ϵ��ԓ��������Փ�Ͻo�����wϵ��׃�c(di��n)����׃���Ⱥ���׃��(sh��)���c�h(hu��n)������(sh��)�Ę�(bi��o)���P(gu��n)ϵ���@Щ��(bi��o)���P(gu��n)ϵ�ڴ����С��ɷN��r�·քe�õ���Ǣ��(ch��ng)Ӌ(j��)��Y(ji��)�����(y��n)�C��ԓ�������������{�����ӵĝB�ų������nj�(d��o)��ԓ�wϵ�������О���D(zhu��n)׃���Ե���Ҫԭ��ԓ�����M(j��n)һ�������ڻ����ĩ�˽�֦������r�£�R��Rc�����x����m�ĭh(hu��n)������(sh��)�Կ��Ա����cδ��֦�{�������wϵ���Ƶ��^С����׃��(sh��)����

�D1��ĩ�˽�֦�{�����ӵĻ���������ڷǻ��Ը߷���ˢ��(n��i)�Ę�(g��u)��׃����(ji��n)�D�����Ϸ����ڴ����С��ɷN��r�¼{�����������x�װ�ğ����W(xu��)ƽ���߶��c�װ�������(qi��ng)�ȵ��P(gu��n)ϵ��
ԓ�����ԡ�Size Effect of the End-Attached Particle on the Adsorption-Responsive Polymer Switches�����}�l(f��)���ڡ�Macromolecules���������µ�һ�����nj�����W(xu��)�B���ո�������ԓ�о��õ�������Ȼ�ƌW(xu��)����ί��֧�֡�
ԭ��朽�: https://pubs.acs.org/doi/10.1021/acs.macromol.2c01341
- �������������n�}�M Macromolecules���ؑ�(y��ng)�������²����B(t��i)�߷��ӵ��ɳ��О� 2023-07-29
- ����������W(xu��)���t܊�����n�}�M��Nat. Commun.�������������p����(d��ng)�:(x��)�����Hˮ�{�����ӽ�ʾ�˼{�Y(ji��)��(g��u)�Ŀ����ؽ�ɫ 2022-01-15
- �L(zh��ng)����(y��ng)�������A/�������n�}�M��Prog. Polym. Sci.���C��:�Ӡ�߷���ˢ�O(sh��)Ӌ(j��)���������t(y��)�W(xu��)��(y��ng)���о����M(j��n)չ 2021-06-03
�\���P(gu��n)ע�߷��ӿƼ�
- 2026����ߌ��Ї���(sh��)�(y��n)�Ұl(f��)չ...
- �����I(l��ng)Ʊح300+���h��I(y��)�R��...
- �P(y��ng)���Ж|�����L���Ѓx�����{(l��n)...
- �f����Ŀ �ذ��_�֣�2025�C(j��)...
- ICIE���H(�V��)Ϳ�Ϲ��I(y��)չ�[...
- �_չ�ڼ����ۄ�(sh��)������朄�(d��ng)δ...
- 9������Ҋ���£�AI�(q��)��(d��ng)+���a(ch��n)...
- �P(gu��n)���e�k�ڶ�ʮ�����Ї����H...
- �R�ۼ�˃x�� ����ȫ���̙C(j��) ...
- CPHI����չ��(sh��)�(y��n)�҃x���c�O(sh��)��...
- ���ܹ��A��朆���������22��...
- ������/���f/�Y�� JACS���l(f��)...
- ��ɽ��W(xu��)��־�x�����w�����...
- ���������������ֈF(tu��n)�(du��) Angew...
- �Ϻ�����/��������(sh��)�(y��n)��...
- ���t(y��)��һ��Ժʢ�������/�A...
- �пƴ���Ƙ�������������/...
- �����������/������������...
- �㹤��������/�~��(hu��)Ҋ�n�}�M ...
- ��������-��־�F(tu��n)�(du��) AFM �C��...
- �|�ϴ�W(xu��)��������ڈF(tu��n)�(du��) Nat...
- ���ݴ�W(xu��)Ҧ����/κ��/����Ӱ...