������̼����������YԴ��ͨ�^���W�̶����������D������и߸���ֵ�Ļ��WƷ�;ۺ�������ѽ�ȡ����Ҫ�Mչ������Ҋ�����r����ʯ��ԭ��ϩ�N�c������̼�Ĺ��ۺ��Դ��ژO�����y���������һ�N������̼��1,3-����ϩ���{�۷����Ƶõ��pϩ��ȡ����-�������EVL�����ܵ���Խ��Խ����Pע��ͨ�^EVL�ļӳɻ����_�h�ۺ��Լ��ۺϺ���������Ƃ�õ�������̼�c1,3-����ϩ�Ĺ�����_�l�µľۺ��﹦�ܲ��ϡ��������㽭��W����������F��OӋ��һ�N������scrambling polymerizations���ľۺϲ��ԣ��ԵͶ��Ե��c�}����������F��EVL�c��-��������CL�������ۺϣ���һ�һ�����Ƃ��ؓ�Y���ɿصĹ��������D1����ԓ�����ԡ�A Topology-Defined Polyester Elastomer from CO2 and 1,3-Butadiene: A One-Pot-One-Step ��Scrambling Polymerizations�� Strategy�����}�l����Angew. Chem. Int. Ed.��Angew. Chem. Int. Ed. 2022, e202213028����Փ�Ĺ�ͬ��һ���ߞ��㽭��W��ʿ�о���ꐐ������־���Tʿ��ԓ�о��õ��ˇ�����Ȼ�ƌW������㽭ʡ��Ȼ�ƌW������Y����

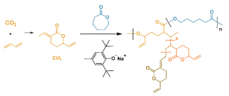
�D1 ����������̼��1,3-����ϩ�Ĺ������ϳ�
�ڏ��A���£�EVL�о��й�ܗ�Y�����p�I���l���ӳɷ������õ����ж��������h���R����oEVL��DFTӋ��������ڹ�ܗ�p�I�ӳɺ�EVL�������h�ɱ�����������_�h�����܉��@���½����� oEVL�е��������h֮�g����һ���Ļ��Բ��ͬ�r��oEVL���_�h�a���c�������I����ۼ������Ȳ������I���l�������Q�����Ļ��Ҳ�^�����D2�����@ʹ��oEVL�c�����gͨ�^���S�������Q�^����scrambling�������γ��µ��ؓ�Y���ɞ������

�D2 oEVL�_�h�������Q������DFTӋ��
�D3 ���ۺτ����W���������
�D4 ���ۺϙC�����ؓ�Y���D׃ʾ��D
�D5 ��������W�j�����쏊���c�������L��
ԭ��朽ӣ�https://onlinelibrary.wiley.com/doi/10.1002/ange.202213028
- �ӹ����eԪ���� Macromolecules���h����˨���ЙC��·��˹��A�� - ������ϡጵĸ�Ч�ЙC���������CO2�ͭh�����鹲�� 2026-02-26
- �L�����������I�t���ڈF� Macromolecules��������̼�錧�ĭh��̼�������w���o-Ó���o�����Ƃ�߷�������W���� 2026-02-04
- �����V���n�}�M��Eur. Polym. J.�����棺�ЙC������ٴ��S��������̼������ƴ�D - ��������ϩ�Ͷ�����̼������ 2025-11-03
- ���ϿƼ���W����܊�n�}�M Macromolecules�����Ͳ����Q�o�w�ۺ����̫���늳� - PCE���_19.79% 2025-12-28
- ���_��W���νܡ����/�пƴ����y���Fꠡ�Nat. Commun.��: ����ͻ��1 GPa�������ߏ��gMXene�w�S 2025-11-03
- ����ø߷��Ӳ��Ϯa�W��Փ������2025��8��21����̫ԭ�e�� | ����݆֪ͨ 2025-07-29
- �㽭��W����塢����F� Macromolecules���ɶ�����̼��1,3-����ϩ������������ϳɹ����Ծ���-��̼���������� 2025-01-07