�Ŀ������YԴ���l���Ƃ�ɽ����ѭ�h���õĸ߷��Ӳ��ό��ɳ��m�lչ������Ҫ���x����߷����ڟ���Ԙ�֬������������ճ�τ����I������Ҫ���Ãrֵ�������ڿ������YԴ��Ч�Ƃ�Y�����ܿɿصķ�߷��Ӳ��ϵ��о�������ࡣ
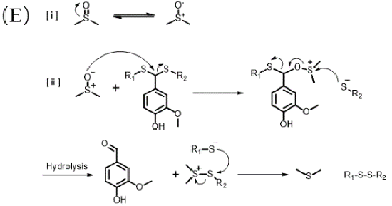
���ڣ������r�I��W�W�c�@�WԺ�������|���ӹ�������Ԭ�����ڡ���犄P�����c�Ї��ֿ�Ժ�ֻ�����ʿ�����о��T���ö�Ԫ��ȩ���ܻ��������������|��Lewis����s�������Ҝؗl�����Ƃ�һϵ�о��з��u���ľۺ���D1�����^�̾��и�ԭ�ӽ����ԣ����a��H��ˮ���@һ�����m���ڲ�ͬ�Y����ȩ���ܻ��ķ���������������ȩ�����u������ȩ��3��4-���u������ȩ���������w�С�����+ȩ�������ܶ�֮�ͳ��^3�r���s��֮����Եõ����W�j�Y����
�D1. ������-ȩ�����s���Ƃ侀�Է�߷��Ӽ����W�j�Y��
����о�̽ӑ�˾��Է�ۺ���Ŀ��������ܺ�ᘌ���������ճ�������������������������ӻ��F�ľ��Ծۺ���չʾ�����^�õ�ճ�����ܺͿ��������ܣ��D2��A-B�����pȩ��������A2�c�Ď���������T4���Ƃ�ľW�jPATN-6չ�F�˸��_54MPa�����쏊�ȣ��D2C����A2�cT2���a��PATN-3�����ѭ�h�ቺ����Cе���ܻ������ֲ�׃���D2D����ͬ�r����ۺ�����DMSO�ӟ������l���£�������sȩ���F�顰���c��������a�{���A��ɻ������ȩ�����Fѭ�h���á����D2E-F��


�D2. ��A�����Ը߷���𤸽���ܣ���B��PAT-2�Ŀ�������������C������T2�Ľ��W�j���W��������D��PATN-3ѭ�h�ӹ������W���܌�������E��DMSO������sȩ���F�ęC������F�����W�jPATN-1���⼰���A�������ȩ
���о���չ����ȩ���s�۷����Ĵ��wϵ���Ƃ��˽Y���S���ľGɫ�߷��Ӳ�����ԭ�������ϳɺ��㡢�a�����܃��������л��W�ɻ����ԣ����P�ɹ��ԡ�Thiol-Aldehyde Polycondensation for bio-based adaptable and degradable phenolic polymers�����}�l����Angew. Chem. Int. Ed., �����x��VIPՓ������Inside Cover������D����
�����r�I��W�����|���ӹ�������Ԭ�������c�Ї��ֿ�Ժ�ֻ�����ʿ�����о��T��Փ��ͨӍ�������о������������̳���Փ�Ĺ�ͬ��һ���ߡ����߸��x�����r�I��W�֘I���̌W��ƽ�_�������|���ӹ������Ą���ƽ�_���Ї��ֿ�Ժ��ľ�����|��̼��Ч���Ç��ҹ����о����ĺ͇����֮a���W���I���g�о����ĵĴ���֧�֡�����о��õ��ˡ�ʮ���塰�������c�аlӋ���Ŀ�������r�I��W�ߌӴ��˲ņ����Ŀ������ʡ��Ȼ�ƌW����Ͱ���ʡ����ߌӴ��˲ń����Ŀ�Y����
ԭ��朽ӣ�https://onlinelibrary.wiley.com/doi/10.1002/anie.202305677
- �Ї������W�RӾ�ص� Small���ɇ�Ϳ�����ӱ��������z 2025-05-15
- �ۿƴV�ݣ������n�}�M�\�в�ʿ�� - �߷��������W�����ϡ��Cе��������2025���^��2026�괺����W�� 2025-03-08
- ꃿƴ����W��/�h�����Ĵ���W���ʺ� CEJ���������w�S�ػ��������Ͽɳ��m���ϳ��²��� 2023-06-05
- ꃿƴ����W������/�h�����ڡ�Int. J. Biol. Macromol.�������͵��ۻ��Gɫ���������Ƃ��²��� 2023-05-29
- �L��������ꐌW˼/���@/����� Nat. Commun.�����ڸ��������Ʋ��Դ��������ͭh�������c�h�������ɿع���-�ϳɸ߷��������ɻ��W���վ��� 2026-02-16
- �Ї��ƴ���Ƙ�������ETH Tae-Lim Choi ���� Angew���Cе���|�l�Ŀɻ��W���յ����ϩ���� 2026-02-03
- �A��������С��/�ם��M���� ACS Nano����߸ߏ�����������ȼ�������܄��ԺͿɻ��W���յğ�ӹ����w�S�ؾW�j�ۺ��� 2025-10-20