�ӑB�����ۺ��������^�͵Ę���݉��������������ɱ����̼����ٿv��Ȼ�����������Ԍ��ڌ��F�����ۺ������Թ����c�������P��Ҫ�������{�ز�������������һֱ�������ۺ����I����ش�����֮һ��
�D1 ��֦�������۱���Ȳͨ�^�����Ȼ��g���Ӄȹ�h�ӳɷ�����������
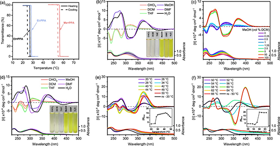
�D6 ����ۺ��֦�������۱���Ȳ�ķ�����������

�D7 �����ǰ���֦�������۱���Ȳ���ܵ������Y��
ԓ�����ԡ�Thermoresponsive Helical Dendronized Poly(phenylacetylene)s: Remarkable Stabilization of Their Helicity via Photo-Dimerization of the Dendritic Pendants�����}�l���ڡ�J. Am. Chem. Soc.����J. Am. Chem. Soc. 2023, 10.1021/jacs.3c09333���ϡ����Ľ������Z�ҝ������ڼ�������������Փ�Ĺ�ͬͨӍ���ߡ�ԓ�о������õ��ˇ�����Ȼ�ƌW�����Ŀ��21971160, 21971161��22271183�����Ϻ��Ж|���W���˲�Ӌ���Ŀ��TP2019039����֧�֡�
ԭ��朽ӣ�https://doi.org/10.1021/jacs.3c09333
- �㽭��W���x���ڈF� Adv. Sci.���ߵ͜��p�����׃ɫ�z�w���ܴ� - ���F�r�I��-��fͬ�{���c���� 2025-12-09
- �K�ݴ�W�T������ڡ����f���ڈF� AFM��������ˮ���z����ø�|����Ĥ+�������������[�������²��� 2025-12-04
- ��۴�WAlan C. H. Tsang���ڈF� Nano Lett. ���棺�ǿ��� - ����c���|�Y���ĸ����c�fͬ 2025-09-07
- ������/�ۿƴ��Ʊ���Ժʿ�F� JACS: ͨ�^���w��֦�����F��Ч���ЙC�Ҝ��� 2025-05-20
- �Ϻ���W����/���������ڈFꠡ�Macromolecules�����ӑB���r�I��������푑����Ԝ�����֦���۱���Ȳ 2023-12-18
- �Ϻ���W����/���������ڈFꠡ�Macromolecules����ԭλ���ۺϷ����Ƃ������֦�����z - �������������h�� 2023-06-06
- ������W�����A/�����F� Macromolecules���ۺϺ��T���ԽM�b�����۱���Ȳ���Բ��� 2025-01-24