������W�����n�����n�}�M Macromolecules: ��M���wϵ�µĆ�朘����D׃
2024-02-21 ��Դ���߷��ӿƼ�
�߷��ӆ�朘����D׃�������߷��ӿƌW�ĺ��ģ������еĸ߷��Ӳ��ϵ��������|���Ǹ߷���朘�����w�F���چνM���܄��У��߷��ӆ�朘����D׃�о��ı��^��������ڶ�M���wϵ�У������wϵ���s������Å����࣬�˂�����M���µĆ�朘����D׃߀����ʮ���������һ���棬�S�����F���c��M���wϵ�µĆ�朘����D׃���P����DNA�����ij������ۺ���ĽY���Լ����z�W�j��齿s����˶�M���wϵ��朘����D׃���о���Փ������Փģ����߀���ڌ��H�����ж�������Ҫ�����x��
�D1������܄��Ѓɲ��ľ��F��С���D׃��
�����߷��ӆ����С�����܄���Lifshitz��Փ���߷��Ӿ��F��С����D׃�c��
�����߷����܄��е��D׃�c��
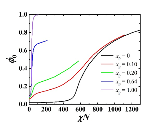
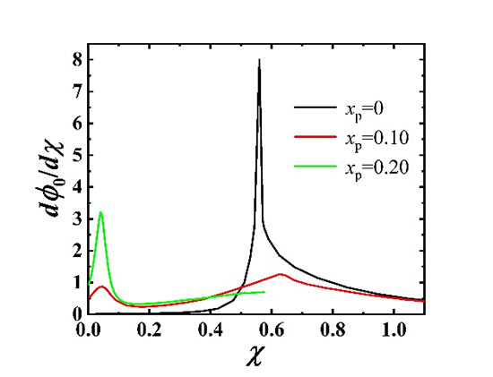
�������ͬ�N���W�M�ֵ�С�����c�߷��ӵĻ���܄��У���朵ľ��F��С���D׃���Է֞�ɲ����͵��D׃�c���ɸ߷����܄�����ģ�����С�����܄�������D׃����һ�����ߵ���tr���������ϵ���Փ����������������Ǣ����Փ��Ӌ���M���wϵ�І�机��ĝ���S������׃������D2��ʾ�����������ĝ�ȵ�б��׃�������Կ����Ѓɂ��ط����ĝ�Ȱl��ͻ׃��Ҳ�Aʾ���ɲ��ľ��F��С���D׃��

�D2.���ĝ���S�����Һ�и߷����܄���ȱ�����p��׃����
�D3. ����܄��l���£�����܄��и߷����܄��M����p���D׃�c��Ӱ푡�

�D4 ����܄��l���£��߷����܄���L�Լ��ۺ������|��L���D׃�c��Ӱ푡�
�D5. �L��܄��l���£�����܄��и߷����܄��M����p���D׃�c��Ӱ푡�

�D6. �L��܄��l���£��߷����܄���L�Լ��ۺ������|��L���D׃�c��Ӱ푡�
�D7. �D׃�c̎�yһ�Ę˶��Pϵ��
ԭ��朽ӣ�https://doi.org/10.1021/acs.macromol.3c02284
����c��؟�����Ї��ۺ���Wԭ�����¡������ý�w�����D�d��Ոϵ�]�䣺[email protected]����Ոע����̎��
��؟�ξ���xu��
���P��
- ��ɣ������Stellacci�����n�}�M Macromolecules:��朸߷��Ӽ{���w���Y�����{���c���� 2022-01-19
- ���B������W����n�}�M Nat. Commun.����ϩ�����s�۷e��ϩ���g�w�ľۺ��D�� 2025-11-05
- �Ʊ��ҽ���/����n�� Angew����M�ּ�C-H�/�h���ۺϱ���Ƃ�������ۺ��� 2025-08-16
- ������ͯ�����n�}�M JACS������flat-on��edge-on�����Y����ʽ������M�ָ߷��Ӷ��S�{��Ƭ����� 2025-02-03