�{����Ĥ����������cоƬ�����ǰ�ؼ��g�I�����ÏV������20���o90����ԁ��������о��l�F�{�׳���Ĥ���в�ͬ���w��ķ��ӄ����W������������׃�О飬�Ķ����{��������������ܮa����ҪӰ푡�Ȼ�������ڼ{�ױ�Ĥ����Ę�Ʒ�Y�������������|�̈́����W�ľ��ʱ������Dz��ϿƌW�I���һ������
����Ûϵ��������������Ҫ�IJ������|������ӳ���ܟ����σȲ�����/ԭ����ӑB��׃�����@Щ׃���c�������D׃���Y���ɳڡ��ή��ͻ��W�����^���������P�����y�ķ���ͨ�^������ʩ�Ӿ��Ԝض���_���о�������/�����^���в����w�e׃������ӳ����Û��Ȼ����ԓ�����y�õ���Ûϵ������^��Ûϵ���������˲������D׃�ȿ����^���Լ��Y���������ɳںͻ��W����Ȳ������^�̵�ؕ�I���@Щ���صľC�����Ì�������Û�V�Ľ���׃�����y���o������Ûϵ��׃���@�ñ�Ĥ���ӄ����W�Ĝʴ_��Ϣ�����˽�Q���φ��}���lչ��һ�N���ڜض��{�ƙE�Aƫ����V���g�ļ{�ױ�Ĥ�ӑB����Û�y��������ͨ�^����Ĥʩ������ʽ�Ĝضȳ��y���ڄӑB��/�����^���б�Ĥ��ȵ�׃����������ߵ�ؕ�I���D1a�������F���{�ױ�Ĥ����Ͳ������^�̵ľ��ʜy�����Ķ������^�Y���ͷ����\�ӵČӴ��ό���Ĥ���|׃���ṩ�����_�Ľ�ጡ�

���·���
�y��ԭ�����£��������ضȔ_���B��������׃�س��D1b����
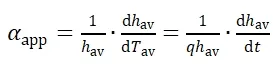
����Tav(t) = T0 + qt��T0����ʼ�ضȣ�q��׃�����ʣ��龀��׃�س���AT sin(��t + ��T)�����Ҝض��{�Ƴ���AT�������������l�ʣ���T�����λ����ʹ���E�Aƫ����V�xԭλ�����r�^�y��Ĥ���h(t)���ض��{��������푑�����D1c�����ɫ@�����^����Ûϵ������app, ��ʽ1���Ϳ������Ûϵ������r, ��ʽ2��:
��ʽ1
��ʽ2
��r�c�ܶȝq�����P����ӳ�˱�Ĥ���ӄ����W���Mһ���Ɍ���r�ֽ���w�F���������Č������������ͷ�ӳ���ܓp�ĵ�̓�����������
����* = ���� + i����� ��|��*| = ��r������ = ��h ? ��T������λ�
���^�Ϳ�����Ûϵ��֮� ��app? ��r����ӳ�˲������^�̌���Ĥ����Ûؕ�I��

�D1. ��a���ض��{�ƙE�Aƫ����V�b��ʾ��D����b���ͣ�c���������{�Ɯضȳ����Լ���Ĥ��ȵĄӑB푑���
�x���O�䣺�ض��{�ƙE�Aƫ����V�x�İ���һ�_�߲ɘ����ʵęE�Aƫ����V�x�߾��ȿ؟��_���Eƫ�x�ĺ�ȷֱ��ʾ��_��0.01 nm���ɘ����ʸ��_20 Hz�����_����?70��600 ��C�Ȍ��F�� 0.05 ��C�ľ��ʿء����⣬�����_�l�˔�������ܛ��NanoDynamicExPansion��Nano DEP����D2��ʾ�������ڌ��ض�T(t)�ͱ�Ĥ���h(t)���{����̖��ȥ���e̎������ȡ�ӑB��̖���l�ʣ������������AT��Ah������λ����T����h������Ϣ��

�D2. ����̎��ܛ��NanoDynamicExPansion®�Ľ���
���������������x���O��ͷ���ܛ�����Ԍ��F��10 nm���ϸ�{�ױ�Ĥ�ӑB����Û�Ĝy�����D3��y���õ���96 nm��Ⱦ۱���ϩ��PS����Ĥ�ĄӑB����Û��������Ҋ��ԓ�������ԫ@�ñ�Ĥ��app����r������������''''����̓������''''''''���S�ض�Tav��׃�������У���app�l���A�S׃���ĜضȞ���^�������D׃�ضȡ�����r�A�S׃������''''''''���F��ֵ�ĜضȄt������һ���{���l���µ����ɳڜضȣ�T���������⣬�ض��{�ƙE�Aƫ����V߀���о���Ĥ���w�e�֏ͺ���Y���^�̡����F�������ɳ�����ɵı�������Û�c�w�e�֏��^�̻���Y���^���������ı��^���׃������Ч���x��

�D3. PS��Ĥ�������ͬ�ضȅ^�g�ĄӑB׃������a��~ 120 ��C����b��~ 100 ��C����c��~ 75 ��C����d��Ah�����S�ض�Tav��׃������e����app����''''��̓����''''''''�S�ض�Tav��׃����
�C�ϣ������lչ��һ�N�y���{�ױ�Ĥ�ӑB����Û�ķ����������˷�����ԭ������˜ض��{�ƙE�Aƫ����V�x�����F����Ĥ����Ͳ�����ȏ��s�^�̵Ĝy����ԓ�����龫�ʜy���{�ױ�Ĥ�����W�͏��s�������W׃���ṩ�µ��ֶΣ������������ƌW���I�猦�{�ױ�Ĥ�ı�����������������������Ĥ�^ȱ�ݡ������ɳڡ����D׃�ͻ��W�^���ęz�y�ͱ������Լ��{�ױ�Ĥ�fͬ�\�Ӻʹμ���ԥ�ķ������о�����������Temperature-Modulated Ellipsometry for the Measurement of Dynamic Expansion of Nanoscale Thin Films�����}�l���������ƌW�x���ڿ�Review of Scientific Instruments�����W�c�����WԺ�_�\����ʿ���һ���ߣ�������ڞ�ͨӍ���������ң��y�������̓x���ѽ���Ո�������Ї��l�����������_�l����ܛ���@�ڙ�ܛ�������ࡣԓ�����ܵ�������Ȼ�ƌW�������㽭ʡ��Ȼ�ƌW�������Y�����ڴ˱�ʾ���x��
ԭ��朽ӣ�https://doi.org/10.1063/5.0264745
�n�}�M朽ӣ�https://zuogroup.zstu.edu.cn/index.htm