�ھGɫ���W�����c�ɳ��m���췶ʽ�D�͵ĺ��^�����£��ۺ�����ϵ��p�|���OӋ�ѳɞ齵��ȫ�������ڭh��ؓ�ɡ����F�a�I��̼����������Ҫ���g·�������У����м{���]�Y���ľۺ���l�ݲ������䪚�صĚ�-�����Ч�����ں�����������o������Դ��܇�p�������I��չ�F���@�����ݡ�Ȼ�����F�м��g�wϵ�����R�ɴ��P�I������һ�����R�����w�l���^�����ݿ׳ɺ˄݉��^�ߌ��³ɺ��ܶ����ޣ���������F�{����������ʩ�ӘO��͉������ձ�>30 MPa���������Ƽs���I�O���Ľ������c��ȫ�ԡ�
ᘌ�����ƿ�i���㽭���I��W��������ڈF��c�Ї��ƌW���g��W������ڈF������������܄���ϳɷ��ɹ��Ƃ���UiO-66�������N���ܻ������UiO-66-OH��UiO-66-NO?��UiO-66-NH?�������״Ό��������Ч����ɺ˄������ھۺ���{�Y���l���wϵ�С�ͨ�^���_���Ƴɺ˄���ͣ����F�˾ۺ����ݿ��ܶȸ��_1.3×1013 cm?3�����^��δ������PMMA�wϵ�İl�ݲ��ϣ��ݿ��ܶ������_10?�����Mһ���أ�ͨ�^�ܶȷ�����Փ��DFT��Ӌ���˲�ͬ���ܻ�UiO-66��CO?�������ܣ��������U����MOF�����cCO?���ӵ�����ÙC�ơ��@��о�������ЙC�Ǽܣ�MOF���ڸ�Ч�ۺ���{�Y���l���I��đ����ṩ�ˌ����A����Փ֧�֡�

�D1 UiO-66-X�ϳ�ʾ��D

�D2 UiO-66-X�^��ò�D

�D3 XRD�cFTIR�yԇ

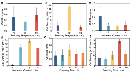
�D4 ��ͬ�l�ݗl����PMMA�{�װl�ݲ����ݿה���

�D5 UiO-66-X�ɺ�Ч���yԇ

�D6 UiO-66-NH2�cCO2���ÙC���c�ܶȷ�����ՓӋ��Y��
���P�о��ɹ�����Polymeric Foams with Nanoscopic Cellular Structures Facilitated by UiO-66-X as High-Efficiency Nucleators�����}�l����ACS applied polymer materials��2025��10.1021/acsapm.5c00528. 20250430���ڿ��ϣ�ԓ�о������õ�������Ȼ�ƌW���������֧�֡�
Փ����Ϣ��
Shanqiu Liu*, Enze Yu, Wei Cui, Taotao Ge, Qing Liu, Yu Zhong, Ping Li*, Jie Yu*, and Jingguo Li*. Polymeric Foams with Nanoscopic Cellular Structures Facilitated by UiO-66-X as High-Efficiency Nucleators. ACS applied polymer materials, DOI: 10.1021/acsapm.5c00528.
Փ��朽ӣ�https://pubs.acs.org/doi/full/10.1021/acsapm.5c00528
- �������������܈F� JHM�����ڿ�Ҋ�����p��A�����g-C3N4�����Ķ�ï�F���� Uio-66-NH2 �ͺ������� 2022-06-12
- �㎟���ּt܊���ڈF�CEJ���Ҝ�ԭλ���L���Ƃ�UiO-66-NH2����ϻ��|Ĥ���ڿ��ٷ��ӷ��x 2022-01-26
- ��������������ϲȫ�����ڣ����ڭh���ޏ͵�PSS-g-UiO-66��Ч�ۺ�����xĤ 2021-04-27
- ���A��W���f̩���ڡ����ɭ��ʿ Angew��������ʽ�w�S��������ĺϳɡ�ԭλ�����Է��x�c�܄����� 2025-09-22
- �㽭��W�O��־/���ƿ�/�Ʊ��ң���[1,6-����Ȳ������]���Ҝش��� 2025-02-20
- �ؑc������W��������n�}�M Angew�����˻��{���̴��������Ҝ��⼰����ϩ�z�y�о� 2024-09-05
- �п�Ժ������������ʯīϩ�{�����Ʒ���ȡ���Mչ 2017-12-26