���ɳ��m�r�I�������������L�����ˌ��o������ϵ�y���dȤ�����У�ˮ���z���o��������|�������õ���ˮ�ԡ���ˮ�Ժ����ȿ��{�����c�����кܴ�đ��Ý��������|��W���ϿƌW�c����ϵ�������n�}�M���YԴ�c�h�����̌WԺ����n�}�M��ˮ����ľ�WԺ�wӢ�n�}�M��������Industrial Crops and Products���ϰl���}����Adjustable P(AM-co-NIPAM)/gelatin hydrogel soilless cultivation substrates for soybean seedling and root growth�����о������¡�ԓ�F�ͨ�^�{�ؽ�����ȣ��ɹ��Ƃ��˾��п��{��϶�Y�����Cе���Ⱥ����ȵ�P(AM-co-NIPAM)/���z�ͺ�ˮ���z�������䑪���ڴ�����ğo�����ࡣ�о��l�F���������ܶȵ�ˮ���z���H���Ѓ����ęCе���ܺͱ�ˮ������߀�ܞ������ĸ�ϵ���L�ṩ����ĭh�����@�����M����ϲ��ֺ�ϵ�İl����ͬ�r�����ڸ�ϵ�����Ķ�ֳ�����⣬ˮ���z�������Ԟ�ӑB�^��ֲ���ϵ���L�ṩ�˱�������o������ϵ�y�ă����OӋ�ṩ����˼·��ԓ�о���ɳ��m�r�I���`�ṩ��һ�N��Ч���ɿص�ˮ���z���|��Q�����������m����ˮ�YԴ�ͻ��|�����������е��r�I���a������ԓ�����õ��ˇ�����Ȼ�ƌW����22472073, 22102067, 41977039�������c���H�����Ŀ��42320104006����ɽ�|ʡ�����F��Ŀ���Y����2023KJ213����

��1.�Ƃ��c������
����ϩ������AM����N-��������ϩ������NIPAM�������z�ܽ��ڳ���ˮ�У��S�����N,N��-�����p��ϩ������MBA����N,N,N��,N��-�ļ��Ҷ�����TEMED�����������^�����@��APS�����lP(AM-co-NIPAM)/���zˮ���z���γɡ����Nֲ�ڳ����ˮ���ˮ���z�У��������ܹ������B�����M�����B��

�D1��A��P(AM-co-NIPAM)/���zˮ���z�ĺϳəC��D����B���N���ڏͺ�ˮ���z���Ȱl�����L��ʾ��D��
ԓ���������w�ͽ��������M�����{����ּ���о��M�ֱ�����ˮ���z���ȵ�Ӱ푣��������ȵ�ˮ���z���|�������M�д�ϵ���^�졣߀����ͬMBA����ˮ���z�������M���˜yԇ��������ˮ���z�����ȅ�����

�D2���У�A����ͬ������AM��NIPAM����B����ͬ���z�����ͣ�C����ͬMBA������ˮ���z��Ʒ;��D�����в�ͬMBA������ˮ���z�����ʡ�
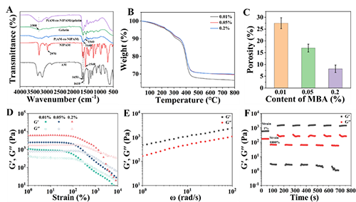
��P(AM-co-NIPAM)/���zˮ���z�M����Ԕ���ı�����ͨ�^�����~�t����V�_�����ɻ��ۺϵijɹ��M�У��C��P(AM-co-NIPAM)/���zˮ���z�ijɹ��ϳɣ�ͨ�^���ط����C��ˮ���z�����^�ߵğ᷀���ԣ���ˮ���z�Ŀ�϶���M���˜yԇ���l�F��϶���SMBA������������pС����׃������׃�D�������������^�������ȣ�ˮ���z���F������ģ������ճ��ģ�����f�����z���F����w���|�����l�ʒ�����׃�D������ˮ���z���DZ��F������ģ������ճ��ģ�����f��ˮ���z�ԏ��Ԟ��������B�m�A�S��׃������׃�D���Կ�����ͨ�^�M�����ѭ�h�yԇ�����z��ճ�������f�܉���ٻ֏����������ԓˮ���z�������õ��Ի֏����ܡ�

�D3 ��A��AM��NIPAM��P(AM-co-NIPAM)�����z��P(AM-co-NIPAM)/���zˮ���z��FTIR���V����B��TGA����C����϶�ʣ���D����׃���裬��E�����l�ʒ��裬�ͣ�F���B�m�A�S��׃���衣
ͨ�^������R�^���˲�ͬ������ȣ�0.01%��0.05%��0.2%����P(AM-co-NIPAM)/���zˮ���z���^�Y������������Ûǰ���׃�������Կ�����ͬMBA������ˮ���z���ж�W�j�Y�����@�_����ˮ�Ă�ݔ��ʹˮ���z�܉����պͱ���ˮ������ˮ���z�Ŀ�϶�SMBA���������Ӷ��pС��

�D4��Ûǰ���У�A��0.01%����B��0.05%�ͣ�C��0.2%MBA��ˮ���z��SEM�D������Û���У�D��0.01%����E��0.05%�ͣ�F��0.2%MBA��ˮ���z��SEM�D������G����ͬMBA������ˮ���z��Ûǰ���ƽ������
��2.���W���ܡ�
���˝M������o��������|��֧���������L�đ��õ�Ҫ��ˮ���z��Ҫ���к��m�ęCе���ܲ��������õġ�ͨ�^���s�ʹ���ԇ��о���MBA������ˮ���z���W���ܵ�Ӱ푡�����ͬ�đ�׃�£��S��MBA��0.01%���ӵ�0.2%��������u���ӡ��S���M���˝u�M���s�yԇ��500�εĉ��sѭ�h�yԇ������ˮ���z���иߙCе�����Ժ����õĿ�ƣ���ԡ����⣬ͨ�^���̌��ϵ�y�u�r��ˮ���z�����W���ܣ��郞��ˮ���z���䷽�ṩ����Ҫ����������ָ�ˣ��_�������ڟo�������е���Ч�ԡ�

�D5 ��A�����s����-��׃��������B���S��׃�������ӵ�ѭ�h���s����-��׃����;��C��500�Ή��sѭ�h�đ���-��׃����; P������-�������������ʹ�ã�D���A����ƽ�^���ߣ���E���A�^���ߣ��ͣ�F�����^���ߡ�
��3.��ˮ��ˮ�ԡ�
�yԇ��ˮ���z�ڳ���ˮ�е���Û���S�r�g��׃������������Nˮ���z��������ˮ��Ȼ���S���r�g�������գ���K�_��ƽ�⡣�����^�쵽��MBA����Խ�ͣ�ˮ���z����Û��Խ�ߡ���ˮ���z�������^�õı�ˮ�ԣ�12����ˮ�ֱ����ʾ����_��80%������Û�Ⱥͱ�ˮ����������������|����Ҫ�l����

�D6 ��A�����в�ͬMBA������ˮ���z����Û������;��B�����в�ͬMBA������ˮ���z��ˮ������������;��C�����в�ͬMBA������ˮ���z����Û֮ǰ��֮�����Ƭ��
��4.MBA���������ϵ�͵��ϲ����L��Ӱ���
�о�����ͬMBA����ˮ���z���������ϵ���L��Ӱ푡�������Ƭ�@ʾ��0.01% MBAˮ���z�еĸ�ϵϡ���������^�̣��ȸ������^�٣�0.05% MBAˮ���z�ĸ�ϵ�l����ѣ��������L���@���ȸ��ֲ������Ҕ����@�����ӣ���0.2% MBAˮ���z�еĸ�ϵ�t���@��Сϡ�裬�ȸ������p�١�ͨ�^��ϵ����x�Mһ����C���@һڅ�ݡ���������������0.05% MBAˮ���z�еĸ�ϵ�L�ȡ�����e���w�e�����┵�����@�����������ɽM���о��������m�еĽ��ܶȣ�0.05% MBA�����ṩ����ęCе֧�κͿ�϶�Y�������M��ϵ�v�����L�ͷ�֦�����^�߽��ܶȕ����Ƹ�ϵ���죬�^�̈́t����֧�β��㡣�@Щ�Y���C����0.05% MBAˮ���z��ֲ���ϵ����������L�h����

�D7 ��A���þ��в�ͬMBA������P(AM-coNIPAM)/���zˮ���z���|���L�Ĵ�����ĸ���Ƭ����B����������Ƭ����C�����L����D��������e����E�����w�e�ͣ�F�����┵��
�о��˲�ͬMBA����ˮ���z���|����������ϲ������L��Ӱ푡�0.05% MBAˮ���z�е��������L�����@����9����~Ƭ�l����齡�ѣ�0.01% MBA�M�����o����������0.2% MBA�M���L�t����ֱ���Բ�~�G�غ����y���Y��������0.05% MBA�M��SPADֵ�@�����������ɽM��ֲ��ߺ������������Mһ���C����0.05% MBA�M��ƽ����ߡ��r�ؼ����ؾ��@������0.01% MBA�M��0.2% MBA�M���о�������0.05% MBAˮ���z�ڙCе֧���ԡ�ˮ�Ժͱ�ˮ��֮�g�_�����ƽ�⣬�����ṩ�������L֧�Σ��ֱ�����ˮ�ֺ��������Ч�\ݔ���Ķ����M������ú��������e�ۣ����^���^�͵Ľ��ܶȄt�քe����|�^Ӳ��֧�β��������ֲ��l����

�D8 ��A���þ��в�ͬMBA������P��AM-co-NIPAM��/���zˮ���z���|���L�Ĵ�����Č����Ƭ����B��SPAD����C����ߣ���D���r�غͣ�E�����ء�
��5.MBA�������������ϵ����������Ӱ���
�о��˲�ͬMBA����ˮ���z���������ϵ������Ⱥ���Ӱ푡�Venn�D�@ʾ��0.01%��0.05%��0.2% MBA�M�քe����231��77��120������OTU�����M����93��OTU��ϡ�����������y������Ѹ��w�ӱ�����N���TˮƽȺ��M�ɱ������نΰ����T��Pseudomonadota���郞�ݾ�Ⱥ��ռ��>50%��������0.05% MBA�M�������S���_81.2%���@�����������ɽM���@�����c���m�˵ęCе���ܺͿ�϶�Y�����M��ϵ��ֳ���P��PCoA�����@ʾ�����M�ӱ���Ⱥ��Y�����ڲ���دB�^�����@��PC1=38.66%��PC2=28.06%�����f��ˮ���z���|�����Ⱥ�M�ɵ�Ӱ����ޣ��H���²��փ��ݾ�Ⱥ�S��׃�����@Щ�Y����ʾ��ˮ���z���ܶ�ͨ�^�{���h���g��Ӱ�ֲ��-���ﻥ����

�D9 ��A�������ľS���D;��B��ϡ������;��C�������Tˮƽ�������S��;��D����ͬ̎���������˷�����PCoA����
��5.���Y��չ����
���о����ͺ�ˮ���z���|�ĽY���������M���˾��_�{�أ��@�������ֲ������LЧ�ʺ��YԴ�����ʣ��阋����Ч�ɳ��m�ğo�������wϵ���^��ֲ���ϵ�ӑB�ṩ����Փ�����͌��`ָ�����@Щ�Y��߀���_�l�ɔUչ�����؏�ʹ�ò����Ϲ��IҪ�����һ���r�I�����ṩ�˼��g֧�֡�������ˮ���zϵ�y�������ϵ��̘I�������a�ͳ����r�I�У���ɳ��m���s���������r�I�ĸ��V��Ŀ������ؕ�I��
����朽ӣ�https://doi.org/10.1016/j.indcrop.2025.121189
- ���t��һ��Ժʢ�������/�A�ƴ��R������ AFM�������˷������ˮ���z�NƬ-�ڼ���p���ί�����ȡ�����Mչ 2026-03-02
- �������/̫ԭ�������P���F� CEJ���A���l��ú�Ҵ��ď��g�ͺ�ˮ���z�Ŀɳ��m�cҎģ���Ƃ估�䑪�� 2026-02-28
- UCLA �R�������ڈF� Adv. Mater.���ġ�朶��\�ӡ����� - һ�Nˢ�¸���ͬ�Լo䛵ij����gPVAˮ���z 2026-02-26
- Nature Communication: ���w����Ԫ���о��Mչ�������A��Ժʿ/������ڈF��c���B�����Oϣ�����ڈFꠣ��аl���Һ����оƬ�� 2025-02-12
- �A��������W���γ����ڈF� Nano Lett.���f�{�{�h�ߴ羫�_�{���^�C�� 2024-12-02
- ���������һ���n�}�M��Sci. Adv.��: ���ӽY�����_�{�ؘ����߷��ӝ�ճ�ӄ� 2023-06-06