�߷��Ӳ��������w���W(xu��)�Y(ji��)��(g��u)��(du��)���^�������P(gu��n)��Ҫ���������ȡ�����Ŀ��g�Ų����(hu��)��(d��o)�����Y(ji��)���О顢�����W(xu��)���|(zh��)�����W(xu��)���ܵ��@��׃���������z�{��۹����飨-Si-O-����朵Ī�(d��)�ؽY(ji��)��(g��u)����߃�(y��u)���ğ᷀(w��n)�����c�ͺ��ԣ���һV����(y��ng)�õ��طN�߷��Ӳ���������(j��)ȡ�����Č�(du��)�Q�ԣ��۹�����ɷ֞錦(du��)�Qȡ�����c�nj�(du��)�Qȡ���͡���(du��)�Qȡ������۶��������飨PDMS��Ҏ(gu��)�����^�ߣ���Y(ji��)��(g��u)-�����P(gu��n)ϵ�^���_�����nj�(du��)�Qȡ���;۹����飬������D(zhu��n)�Ʒ���(y��ng)���_(k��i)�h(hu��n)�ۺϵ��S�C(j��)�ԣ����ھۺ��^(gu��)�����a(ch��n)����(g��u)���S�C(j��)�ֲ��������w�Y(ji��)��(g��u)�c�����P(gu��n)ϵ�y����������(y��n)���Ƽs�˸����ܹ����z�������O(sh��)Ӌ(j��)�c����ͻ����
�ۼ��������������飨PMTFPS���ǵ��͵ķnj�(du��)�Qȡ���;۹������������(y��u)���������ԡ����܄��Լ�������᷀(w��n)���ԣ������պ��졢��܇���߶���Ӳ����I(l��ng)����(y��ng)�ÏV����Ȼ���������w���W(xu��)���Ќ�(du��)�Y(ji��)���О顢�^�W(w��ng)�j(lu��)�γɼ����W(xu��)���ܵ�Ӱ푺��{(di��o)�ؙC(j��)����ȱ��ϵ�y(t��ng)�о����@���H��K�˷������z�����ܻ��İl(f��)չ��Ҳ���������ژO�˭h(hu��n)���µđ�(y��ng)�Ý�������ˣ���ʾ PMTFPS �����w���W(xu��)�Y(ji��)��(g��u)-�����P(gu��n)ϵ����(du��)ָ��(d��o)�������������z�����O(sh��)Ӌ(j��)������Ҫ�ĿƌW(xu��)�r(ji��)ֵ�͑�(y��ng)�����x��

ᘌ�(du��)������(w��n)�}��ɽ�|��W(xu��)�܂��������о��F(tu��n)�(du��)����19F NMR�ĸ��`���ȡ������W(xu��)λ�Ʒ����ͷǸɔ_�Եȃ�(y��u)�c(di��n)���״Ό�(sh��)�F(xi��n)�ˌ�(du��)��ͬcis-D3F / trans-D3F �����Ƃ�� PMTFPS��Ԫ�M���w���W(xu��)��(g��u)�͵�ֱ�Ӷ����������������ˆ��w�����c PMTFPS ���wҎ(gu��)����֮�g���P(gu��n)ϵ���о���������(d��ng) cis-D3F �������^(gu��) 58% �r(sh��)��PMTFPS�ʬF(xi��n)�ߵ�Ҏ(gu��)�Y(ji��)��(g��u)��

�D1 PMTFPS���w���W(xu��)�Y(ji��)��(g��u)�ı���
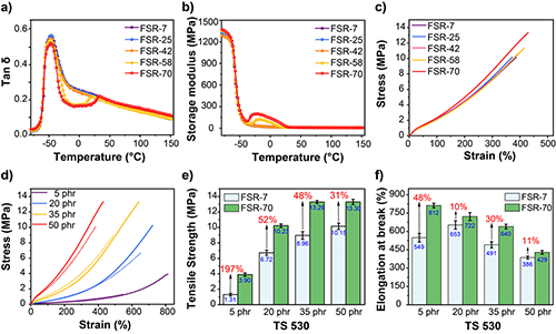
�ڴ˻��A(ch��)�ϣ��F(tu��n)�(du��)ϵ�y(t��ng)�о��˵�Ҏ(gu��)�Y(ji��)��(g��u)ռ��(y��u)��(sh��)��PMTFPS ��Ʒ�ľ��w�Y(ji��)��(g��u)���ǵȜؽY(ji��)����(d��ng)���W(xu��)���Y(ji��)����(bi��o)����PMTFPS �����wҎ(gu��)�����@��Ӱ푾����g�༰���w���L(zh��ng)ģʽ���S��Ҏ(gu��)�������ӣ������g���pС�����w���L(zh��ng)ģʽ��һ�Sᘠ�Y(ji��)��(g��u)�Ͷ��S�Ӡ�Y(ji��)��(g��u)��u�D(zhu��n)׃?y��u)����S�Y(ji��)��(g��u)�����⣬�о�߀̽ӑ�������wҎ(gu��)���Ԍ�(du��)�䏗���w���W(xu��)���ܵ�Ӱ푡������wҎ(gu��)���� FSR-70 �����w���F(xi��n)���@����������(qi��ng)Ч��(y��ng)���H����5�ݰ�̿���a(b��)��(qi��ng)�������쏊(qi��ng)���^ FSR-7 ������ 197%�����о����Hϵ�y(t��ng)��ʾ�� PMTFPS ���w���W(xu��)Ҏ(gu��)�����c�Y(ji��)���Y(ji��)��(g��u)�������W(xu��)���ܼ����W(xu��)���ܵă�(n��i)���P(gu��n)(li��n)�����C��(sh��)���{(di��o)�طnj�(du��)�Qȡ���۹���������w���W(xu��)��(g��u)�����_(k��i)�l(f��)�����ܹ����z�����w����Ч���ԡ�

�D2 PMTFPS�����w�����W(xu��)����
���P(gu��n)�о���������Stereochemical Regulation of Poly(methyl(3,3,3-trifluoropropyl)siloxane) via Monomer Ratio: Tuning Crystallization Behavior and Mechanical Properties�����}�l(f��)���ڡ�Macromolecules���ϣ�Փ�ĵ�һ������ɽ�|��W(xu��)���ϿƌW(xu��)�c���̌W(xu��)Ժ��ʿ�о���������ͨӍ���ߞ�ɽ�|��W(xu��)���ϿƌW(xu��)�c���̌W(xu��)Ժ�����A���о��T���܂������ڡ�ԓ�о��õ���ɽ�|ʡ��Ȼ�ƌW(xu��)����(li��n)�ϻ����ɽ�|ʡ���c(di��n)�аl(f��)Ӌ(j��)�����Y����
�܂��������n�}�M�L(zh��ng)�ڏ��¸������ЙC(j��)����ϵ��о����n�}�M�L(zh��ng)�����Ճ�(y��u)�㲩ʿ��ʿ�о������gӭ�����طN�ЙC(j��)�菗���w�ϳɡ��ӹ����I(l��ng)��ă�(y��u)�����������n�}�M��
������朽ӡ�https://pubs.acs.org/doi/10.1021/acs.macromol.5c01642
- ���������������ֈF(tu��n)�(du��) Angew������PVDF�ı������Ի� 2026-03-02
- ���ݴ�W(xu��)Ҧ����/κ��/����Ӱ AFM�����ڹ���|�l(f��)���ޏ�(f��)�۰��������w�Ķ�ܟ���׃ɫ�ɹ��b�� 2026-02-28
- �Ͼ���W(xu��)���ı������n�}�M Macromolecules���p�S����Y(ji��)���r(sh��)�đ�(y��ng)���ɳڲ����ڟ����ԏ����w�a(ch��n)Ʒ�����W(xu��)���� 2026-02-27
- �п�Ժ�L(zh��ng)����(y��ng)���������A Angew����������Ó���o(h��)���W(xu��)��(sh��)�F(xi��n)���Ծ۰�����ľ���(zh��n)�ϳ� 2022-01-06
- �~�s������W(xu��)�����_��У�w���V���ڈF(tu��n)�(du��)��Adv. Sci.�������É��s����ԭ�����Ķ��Sƽ��Y(ji��)��(g��u)�Є�(chu��ng)�����S�����@�M�� 2021-07-22
- �Ї�(gu��)�ƴ�����/Фʯ�� Nat. Synth.�����������ӹ��ۺ� - �����ٿضࡱ�����������{(di��o)�ؙC(j��)�� 2025-09-20
- �Ͼ���W(xu��)���ı������n�}�M Polymer���߷��ӱ�Ĥ���͵đ�(y��ng)���ɳ��{(di��o)�ؙC(j��)�� 2025-05-25
�\(ch��ng)���P(gu��n)ע�߷��ӿƼ�
- 2026����ߌ��Ї�(gu��)��(sh��)�(y��n)�Ұl(f��)չ...
- �����I(l��ng)Ʊح300+���h��I(y��)�R��...
- �P(y��ng)���Ж|�����L���Ѓx�����{(l��n)...
- �f(w��n)����Ŀ �ذ��_(k��i)�֣�2025�C(j��)...
- ICIE��(gu��)�H(�V��)Ϳ�Ϲ��I(y��)չ�[...
- �_(k��i)չ�ڼ����ۄ�(sh��)������朄�(d��ng)δ...
- 9������Ҋ(ji��n)���£�AI�(q��)��(d��ng)+��(gu��)�a(ch��n)...
- �P(gu��n)���e�k�ڶ�ʮ�����Ї�(gu��)��(gu��)�H...
- �R�ۼ�˃x�� ����ȫ���̙C(j��) ...
- CPHI����չ��(sh��)�(y��n)�҃x���c�O(sh��)��...
- ���ܹ��A��朆���������22��...
- ������/���f/�Y�� JACS���l(f��)...
- ��ɽ��W(xu��)��־�x�����w�����...
- ���������������ֈF(tu��n)�(du��) Angew...
- �Ϻ�����/��������(sh��)�(y��n)��...
- ���t(y��)��һ��Ժʢ�������/�A...
- �пƴ���Ƙ�(l��)������������/...
- �����������/������������...
- �㹤��������/�~��(hu��)Ҋ(ji��n)�n�}�M ...
- ��������-��־�F(tu��n)�(du��) AFM �C��...
- �|�ϴ�W(xu��)��������ڈF(tu��n)�(du��) Nat...
- ���ݴ�W(xu��)Ҧ����/κ��/����Ӱ...