�����ۺ��TVPs����һ�����ˮ���Ծۺ�����ڟ����z�ۺ���ķ����������ѱ����H�����c���û��W�ϕ��О�2025��Ȼ��W�I��ʮ�����d���g֮һ���c���yˮ���Ծۺ�����Һ�ڼӟ�r���½��ġ���׃ϡ���О鲻ͬ��TVPs�����朻�Ƕ�ξ߂���R���ܽ�ض����ԣ���ͨ�^�Ծ������ñ��F�����صğ������F���y�ۺ����粿��ˮ��۱�ϩ�����ڰ�ϡ��Һ����Ҫ��ه��p�Y���F��𤣬��TVPs�ڜضȳ��^�R�羆�ϜضȺɽ�������p�Y�c��푑����F�g�ķ����g���υfͬ�����ȡ�Ȼ����TVPs�ڵ͝���µğ�����������䶨���C�������Mһ��̽����
���գ��Ĵ���W�T��܊�F�ͨ�^��grafting onto�����ԣ����˰�����N-��������ϩ������NH2-PNIPAM����֦���߷�����HPAM��朣��ϳ���һϵ�и߷�������HPAM-g-PNIPAM�������ϵ�y�{������朷�������Mw������֦�ʣ�Gr���Լ��ۺ����ȣ�Cp����ͨ�^Gompertz��Cross�ɷNģ�ͣ������������������������������Ӱ푵��������_ʽ�����⣬���ڕr�دB��ԭ�����������^�˽�֦�ʺ;ۺ����Ȍ���֦���c��Ȍ��ᾆ������ؕ�I�̶ȡ����������о���������һ��һ�������Uጟᾆ���c������֮�g�˶��Pϵ�Ķ�����Փ�����
2025��12��2�գ�ԓՓ�����}����Quantifying the Thickening Power of High-Molecular-Weight Thermoviscosifying Polymers in Pure Water���l����Macromolecules�ϣ��Ĵ���W��ʿ�о�����������Փ����һ���ߣ��w�W֮��Ƹ���о��T���T��܊������ͨӍ���ߡ�
���о�ͨ�^���ƺϳ�HPAM-g-PNIPAM�����QHnmGx����֦���������������ϵ�������wϵ���D1������ϵ�y̽���Y��������������О��Ӱ푣�ϵ��һ��Group 1����朷�������ͬ����֦��һ�£�Mw����(5.2�C16.5)×106 g×mol-1��ϵ�ж���Group 2����朷�������ͬ����֦�ʲ�ͬ��Gr������1.6%�C51.9%��ϵ������Group 3���̶��ۺ���N���׃��Һ���Cp���^�g��0.05%�C0.50%��

�D1.��A����������ۺ��NH2-PNIPAM���ͣ�B�������ۺ��HPAM-g-PNIPAM���ĺϳ�·������C��ͨ�^ϵ�y�{����朷�������Mw������֦�ʣ�Gr���;ۺ����ȣ�Cp������������Ʒϵ�У����ڽ��������ĽY���������Pϵ��
ϵ��һ����朷�������Mw����������О�Ķ���Ӱ�
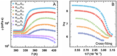
�S��朷�����Mw����HnmG50��Һ�ڵ����ߜ^�ğ����׃ϡ�F����u�p�����М����^�g�t���@׃����������ֵ�ضȣ�Tmax����372 K ������405 K����ֵ�ȣ���max����660 mPa×s�@��������4670 mPa×s�������^�L������������γɸ����̵�PNIPAM���W�j�����ڕr�دB��ԭ�혋�����r�g�CMw�B�������@ʾ����ͬMw�wϵ��ln��max�߶��غ��������б��һ�£��s��14����ӡ�C������C����ͬ������Gompertz���̔M�����^��Regime II�����������l�F����������max-��ass�cMw�ʃ����Pϵ��~Mw1.75�����������_ʽ��
�Y�������������朷�������ͨ�^���M朘����D׃�c�W�j�ؽM���@�����������������


�D2. 0.3% HnmG50��Һ��Group 1���ڲ�ͬ��朷�������Mw���µğ�����О飺(A) ���S�ض�׃��������(B) Regime II �^�g ln���C1/T��Crossģ�͔M�ϣ�(C) ��H20mG50�酢�գ�����ˮƽ���Qֱ��λ������aM��bM���õ��ĕr�g�CMw�B����������(D) Regime II�����CT�Pϵ��Gompertzģ�͔M�ϡ�
ϵ�ж�����֦�ʣ�Gr����������О�Ķ���Ӱ�
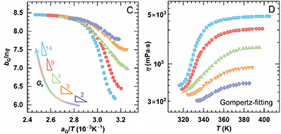
����朷�������ͬ��H20mGx�wϵ�У��SGr��ߣ��wϵ�Ɏ��o�����u�D׃���@������𤣬���F��Tmax��������max����max-��ass����Tass���ͣ��@��ӳ�˸߽�֦�ܶ���PNIPAM��ˮ����ռ������λ���r�g�CGr�B����������������ͬGr�wϵ��ln��max�����غϣ���ln��ass�SGr�������@�ֻ��������б����2����14����Gompertz�M�Ϸ�������max-��ass�����cGr���������Pϵ��~Gr1.04�������_ʽ��
��Ҋ����߽�֦����ͨ�^����PNIPAM�����c�W�j���ܻ����@��������������ܡ�


�D3. 0.15%H20mGx��Һ��Group 2���ڲ�ͬ��֦����Gr���µğ�����О飺(A) �����������(B) Regime II �^�g��ln���C1/T��Crossģ�͔M�ϣ�(C) ��H20mG50�酢�գ�������λ����aG��bG�õ��ĕr�g�CGr�B��������(D) Regime II�����CT�Pϵ��Gompertzģ�͔M�ϡ�
ϵ�������ۺ����ȣ�Cp����������О�Ķ���Ӱ�
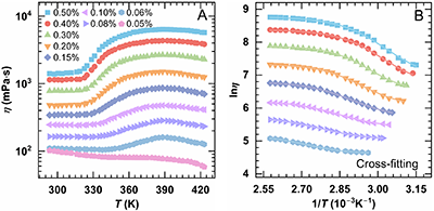
��H20mG11��ģ���wϵ����Cp��0.05%����0.5%�r���wϵ�Ҝس�ʼ�����ߣ����ڵ���0.06 wt.%�r���ʬF���@���������Regime II�У��SCp����Tass���Ͷ���max�c��max-��ass���m���r�g�CCp�B�������@ʾ�����������ln��max�ɯB�Ϟ�һ�l��������ln��ass�SCp�@�����������б����1.4������5.3��Gompertz�M�Ϻ͘˶ȷ�������������max-��ass�cCp���Ƴʃ����Pϵ��~Cp2.01�������_ʽ��

�@�f����߾ۺ������ܘ����������ܵ��p�Y�c���ϾW�j���Ķ��@���Ŵ�����Ч�ʡ�


�D4. H20mG11�ڲ�ͬ�ۺ����ȣ�0.05�C0.5%���µğ����������(A)�����������(B) Regime II �^�gln���C1/T��Cross ģ�͔M�ϣ�(C)��0.5%�酢����ͨ�^��λ����aC��bC�õ��ĕr�g�CCP�B��������(D) Regime II �����CT�Pϵ��Gompertzģ�͔M�ϡ�
�ᾆ�����Ì����������ؕ�I����
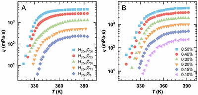
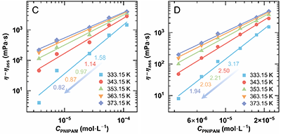
ͨ�^�Ȳ��� -��ass����PNIPAM�ᾆ�ό�����ؕ�I������CPNIPAM�����˶��Pϵ����333.15 K �����ض���Group 2��Group 3�M�Еr�g�C�ضȯB�ӣ��õ�bT(��max-��ass)�������ڵ�CPNIPAM�^�g���ɗl�������غϣ��f���ᾆ�����ؕ�I��������ڸ�CPNIPAM�£�Group 3��bT(��max-��ass)���@����Group 2�������˶�ָ���քe��2.78 ��1.10���@��������ͬPNIPAMƬ�Ν���£������朝�ȣ�Cp���Ȇμ����ӽ�֦�ʣ�Gr���ܸ���Ч�طŴ�ᾆ�����Ч����



�D5.(A) Group 2�Լ�(B)Group 3���Ȳ��S�ضȵ�׃����(C) Group 2��(D)Group 3��333.15�C373.15 K�µğᾆ��ؕ�I��(E)��(C, D)�еĔ������Qֱ��λ����bT�������ض�333.15 K��̎���õ���bT(��-��ass)������ʾ��Dչʾ�^�Y���ݻ����{ɫ��HPAM��朣��tɫ��PNIPAM����
���Y
������ͨ�^ϵ�y�{����朷�����Mw����֦��Gr�c�ۺ�����Cp������������TVPs����������c��������֮�g�ă����˶��Pϵ�����ƌ����yһ����(T; Mw, Gr, Cp)���_ʽ�����ڕr�دB�ӷ����Mһ����ʾ�������朝������μ����ӽ�֦�����ܸ��@���Ŵ�ᾆ�����Ч����ԓ��Փ����U�������L����C�߽�֦�C�ߝ�����fͬ���������Ч�����C�����鰴���OӋ��Ч�����ۺ��P������׃�{���wϵ�ṩ�˶���������
ԭ��朽ӣ�https://doi.org/10.1021/acs.macromol.5c02528
���d��Փ��ԭ�ġ�
- �L��������ꐌW˼/���@/����� Nat. Commun.�����ڸ��������Ʋ��Դ��������ͭh�������c�h�������ɿع���-�ϳɸ߷��������ɻ��W���վ��� 2026-02-16
- �L���������������о��T�F� Macromolecules�����ô����ġ��������á��͡���Ч�����Ƃ���p�Y���߷���������ϩ 2026-02-06
- �L�����������I�t���ڈF� Macromolecules��������̼�錧�ĭh��̼�������w���o-Ó���o�����Ƃ�߷�������W���� 2026-02-04