������s����Fe81Ga19�Ͻ����͈��ͣ�~100 Oe������չ�Ժã���s���m�У�~350 ppm���ȃ��c���ڂ������������I����ЏV���đ���ǰ�������C�ϵ�y�Լ���ͺϲ����У��@�Ñ������еĴ�����s��Ĥ���P��Ҫ�������������P�о��У����L�ڄ����r���ϴ�����s��Ĥ�������r�����`����Ĥ�ڑ��������Լ������ϵȷ�����`���ȼ������͡�����������������r�Ĵ��Ա�Ĥ��������ӌW�����������˂��ďV���dȤ�������r�ח���ģ��С������׃�����������r�Ĵ�����s��Ĥ����ӑ�����ň���׃�ø������С�
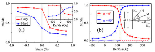
Ŀǰ���п�Ժ���Բ����c�������c���������о��Fꠣ��������r��PET���ی����������Ҷ����������Ƃ�����܃�����Fe81Ga19�ྦྷ��Ĥ�����Ԝyԇ�Y��������ԓ�wϵ�д��ڷdz����@�Ĵņ��S�����ԣ�1.81��105 erg/cm3�����Mһ�����҂�ͨ�^������׃���քe�����S���y�Sʩ�Ӳ�ͬ�̶ȵđ�������Fe81Ga19��Ĥ�ĴŸ������M�����{�ء��о��Y���������ڑ��������£�Fe81Ga19��Ĥ�����S�����{�س��y�S����֮��Ȼ�����]�ྦྷ��Ĥ�е��״Ż��S�ĽǷֲ�����Stoner-Wohlfarthģ���M�и��M���҂�����Փ�ό��������{�Ć��S�Ÿ����Ԍ��Y���M���˶��ԵĽ�ጡ�
ԓ�о��Y���������Դ���ӌW�������аl������Ҫ��ָ�����x��Փ�İl����Appl. Phys. Lett. 100, 122407 (2012)��Ԕ�����݅�Ҋ��http://dx.doi.org/10.1063/1.3696887����ԓ�о������@��973���n�}��������Ȼ�ƌW����11174302�����������c���A�о��Ŀ��2012CB933004�������Ƽ����Fꠣ�2011B82004,2009B21005�����Ŀ֧�֡�

�D��a��. �ň������S���y�S������ƽ��Ĥ�棬ͨ�^ʩ�әM������׃�����α��S��׃�̶�׃�����Pϵ�D��
�D ��b��. �ɸ��M��Stoner-Wohlfarthģ��Ӌ����ľ��α��SKe/Ms��׃���Pϵ������