��Ȼ��ӆΌ��ḻ�����u�����܉�Ͷ�N�����ͨ�^���I������γ�ˮ���z��Ȼ��������y���Ƃ䷽������Һֱ�ӻ�ϣ����ښ��I���γ��^��Ѹ�٣��@�N�������µĽ��^���y�Կ��ƣ����îa������ԡ���ע���Ժ��Π���OӋ���^�
���գ������ڡ��_�B���о��T�F�������V���^���еV��ǰ��w�����D׃�Ć��l�������һ�Nᘌ��Ό���-�����ˮ���z��ͨ�õă�Դ���z����ԓ����ͨ�^�{���wϵpHֵ�����ƆΌ���ʹ����֮�g���I����õ����������a�������ڃɷN�M�ֻ��֮ǰ�{�߆Ό�����ҺpHֵʹ����u��̎�ڷ�ؓ�x�Ӡ�B���������c����ӻ�Ϻ�o���a�����Ě��I�γɽ��W�j��������Һ�м����܉���ጷŚ��x�ӵ�������������γ�ˮ���zǰ��w��ʹ���I����þ����a����

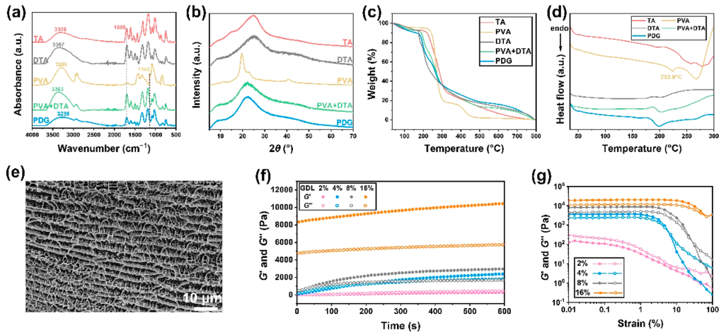
�D1��a������V�����lʾ��D����b��ֱ�ӻ�Ϸ��c��Դ���z��ʾ��D����c���Ό�����Һ��TA�����{��pH�����Һ��DTA���c��ͬ�������Һ������îa���d����Դ���z���м����������������GDL��ǰ�����îa��

�D2��a����ע���ԣ���b�������Һ�ķ����ԣ���c��ǰ��w�Ŀ�����ԣ���d�����û����Һ�Ƃ�D����ˮ���z

�D3 ԭ�Ϻ�ͨ�^��Դ���z���Ƶõ�PVA-DTA-GDL��PDG��ˮ���z�ģ�a��FT-IR�D����b��XRD�D����c����ʧ����������d��DSC��������e��PDGˮ���z���������R�D����f��PDGǰ��wģ�����r��������g��PDGˮ���z��׃��������
ǰ��w���ԘO��ظ�����ˮ���z�ľ����ԡ���ע���Ժ��Π���OӋ�ԣ�ͬ�r���F�˿ɿص����z���^�̣������z���r�g���Ծ��_�{�ء����⣬����ԓ�����Ƃ��ˮ���zչ�F��������ȱ�ڷ�����ܡ����ڸ��w���ܺ����鑪׃�������ĝ�����ԓ������ͨ�^�ɿصķ�ʽ�����͑��ö��-�����ˮ���z�_����һ�l�µ�;����
�����������}��Biomineralization-Inspired Intermediate Precursor for the Controllable Gelation of Polyphenol�CMacromolecule Hydrogels�l���ڡ�ACS Applied Materials & Interfaces���ϡ����¹�ͬ��һ���ߞ�Tʿ���I�����g�����ʿ���I��������ͨӍ���ߞ��Ĵ���W�߷��ӿƌW�c���̌WԺ������ں��_�B���о��T��ԓ�о��ɹ�����Ո�l����������Ո̖��CN202211025766.6�������п�ע��ճ��ˮ���z����a�I�D��ǰ����
ԭ��朽ӣ�https://pubs.acs.org/doi/10.1021/acsami.2c15068
- �V�|ʡ�ƌWԺ������/�V�ݼt���tԺ���h���ַf MTB���h���{�ؿ�ע��ˮ���z���ж�-��ͻ����ȱ�p�ޏ��I������� 2025-05-17
- �����t���ǻ�tԺ�Մ�/�贺��/����Fꠣ�����ROS�|�lˎ��ጷ����ԵĿ�ע��ˮ���z���F�������Ϳ��{���w���fͬ�f�������������ί� 2025-04-15
- ���ִ�W��悌�����/�����ϲ�ʿ�F� Adv. Sci.�����������ܻ���ע��ˮ���z�p�p�װY���������M���Ժ����������� 2024-04-17
- �|�A��W�������о��T/ʷ��ꖽ��ڈF� AFM�����������w���b��pH푑��͘�����Ӽ{�����z��������ͨ�^�ؾ��̶�N��������ί����ٰ� 2026-02-20
- ��h��Wꐳ���/�������I��W���� ACS Nano���w�S�ش�����{���p늌ӌ��F�����L�����c����늳� 2025-09-23
- ��h��Wꐳ���/���� Natl. Sci. Rev.���ɻ�������z����������ˮ���z늽��|�����ɳ��m�������\����늳� 2025-08-11
- �V����W����� ���w��ϼ�F� AFM�����s�|�l�ӑB���ILDH@�w�S�ذ������{�����z˲�rጷż{���������ڿɳ��mˮ�ޏ� 2026-01-31