��׃����(Phase Change Materials, PCMs)����ͨ�^��׃�^�̃����ጷŴ������ᣬ���J��������ǰ;�ă������֮һ��Ȼ������һ��׃�����������R��й¶���͌��ᡢ���܆�һ�Ȇ��}������������䌍�H���á���ˣ��б�Ҫʹ�÷��b���ρ���ֹ��׃���ϵ�й¶�����빦�����ρ���ߌ������������F(xi��n)����ԣ��Ķ��Ƃ䷀(w��n)�������Ķ�ͺ���׃���ρ���չ�䑪�á���һ���棬�ۼ��T���l(f��)��(Aggregation-induced emission, AIE)�F(xi��n)��İl(f��)�F(xi��n)�����˂��y(t��ng)�ɹ������ۼ����ɹ���Ч�������m���ڹ��w���ϵ����ƣ�ʹ�ßɹ���Ͽ��ԑ��õ��ͺ���׃�����С�ͨ�^�_�l(f��)���͵��Ż�AIE�l(f��)��������鹦�����ϣ���AIE�����x����׃�ͺϲ������벻���������ܣ����@������о�����Ƿȱ��ؽ�����̽���Ե��о������a��
������V�|���I(y��)��W�h����/�S�\���F��c�T���n�}�M����Ծ���ϩ������ͪ(PVP)����b���ϣ����Ҷ���(PEG)����׃���ϣ������Ż�AIE����Py?CH�鹦�����ϣ�����������(BN)�錧����ϣ������o늼��z���g�Ƃ��ˏͺ���׃�w�S���ϡ��о�������PVP��PEG֮�g�����朵��p�Y�Լ����صĶ�Y�����a���ļs������Q��PEG��й©���}���ͺ��w�S��80 ���±���1 h��й©�ʵ���2~3%��һ���棬�ͺ���׃�w�S�����^�õă������ܣ�����ֵ��90 J/g������D�Q�ʹ惦Ч�ʞ�33.17%����һ���棬Py-CH�ľۼ��T���l(f��)��(AIE)���ܺ�Ť�D�����g늺��D��(TICT)�����cPVP����ˮ���ܵĽY���x���ˏͺ���׃�w�S�����׃�؟ɹ����ܣ����ɹ��ɫ�S�ض����߶��{�ƣ����v�S�Gɫ����ɫ���{ɫ����ɫ���ɫ׃���������ڴˣ�ԓ���M�ͺ���׃�w�S���ԑ����ڹ���D�Q�c���桢�ߜ��A���������I��ԓ��Ҳ����չʾ���Ż�AIE�ɹ��������Դ�I��ĝ��ڑ��á�
�D1 (a)һ�����ϳ��Ż�AIE�ɹ���ӵĺϳ�·����(b)�Ż�AIE���ӵ��S�܄��O��׃���ğɹ���V�D
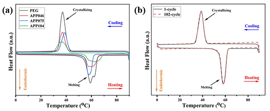
�D3 (a)PEG�Ͳ�ͬPy-CH�����ďͺ���׃�w�S��DSC�yԇ������(b)�ͺ���׃�w�S�ڵ�1��ѭ�h(hu��n)�͵�102��ѭ�h(hu��n)�r��DSC������(c)��ͬ���չ����ͺ���׃�w�S�ĕr�g-�ض�������(d)�ͺ���׃�w�SĤ�ڲ�ͬ�ض��µ�CIEɫ�V�D��(e)�ͺ���׃�w�S��Ĥ�ğɹ��ѭ�h(hu��n)���D
ȫ��朽ӣ�https://link.springer.com/article/10.1007/s42114-023-00706-4
��ͨӍ���߽�B��

�S�\�����V�|���I(y��)��W�����ڡ���Chemical Engineering Journal��Energy��Composites Part A��Composites Part B���ڿ��l(f��)��SCIՓ��40��ƪ�����е�һ/ͨӍ����Փ��20��ƪ��Փ�ı�����1500��Σ�H����24����Wiley�ȳ������Ե�һ/ͨӍ���ߺ��������¹�(ji��)3��������10�������2013���ԁ텢�c�Ŀ10��헣���������6헡�

�T�����V�|���I(y��)��W����/������Ժ�L�������ձ��������R��W��ʿ���S���M�뱱��ӡˢ�WԺ������2016������ۿƼ���W�Ʊ���Ժʿ�n�}�M�_չ�ۼ��T���l(f��)��IJ�ʿ���о���������Ҫ���»������g�w���������ЙC�l(f��)����ϵ��OӋ���ϳɼ����A�����о���2017������V�|���I(y��)��W�����꣬�����ˇ�����Ȼ�ƌW���𡢽������ȇ��Ҽ���ʡ�����Ŀ�ȶ���Ŀ���Ե�һ/ͨӍ������Advanced Functional Materials, Small, Advanced Optical Materials, Chemical Science, Ecomat, Organic. Letters, Journal Organic Chemistry���ڿ��l(f��)��50��ƪՓ�ģ�Փ�ı�����1800��Σ�H����27����Ӣ�Č���1�����ڙ�����10ƪ��

�h�������V�|���I(y��)��W���ڣ������eϦ���၆��W��ʿ�������ҽܳ�����ƌW���𡱫@���ߡ�������2000���Zؐ�����W���@����Alan G. MacDiarmid���ڡ����ж�ʮ������H�������v���Ⱥ��ڶ������500����I(y��)�����������W�������^��N���gλ���磺�����ŰIBM��Ӣ���ۇ����W��˾������˹��������ʥ��ࡢ�����e�����၆��W���Ͷ�����������W�ȡ��������о��ЙC��늹��ܲ����c���������ܸ߷��Ӳ��ϡ��ЙC�l(f��)����O�ܡ��}⁵V��̫���늳أ�����S���ܻ�ʯīϩ�ͺϲ����c���ã������ܾۺ�����ϵĺϳ��c�ӹ�����(ji��)�ܭh(hu��n)����PM 2.5�ȡ������^����������Ҙ˜ʾ��Ŀ�������������Ŀ���������ҿƌW�����Ŀ�����Ї����һ����Ŀ�����Ŀ���M�_��(sh��)ʮ�|Ԫ����Ϋ@����������������������f(xi��)���Ƽ��ɹ�����������˾ͻ��ؕ�I���ȡ������һ������Ї��͇��H������������ʮ����ѫ@�ڙࣩ���Ƽ�����һ����ƪ��������ָ��(sh��)��>2000��H-index�� 22����
- ���ݴ�Wԝ� AHM���ɱ�����ڂ����ޏ͵ĸɼ����͜ر���ƽ�_ 2025-01-12
- �K�ݴ�W���F��/ꐇ������ڈF� CEJ: ֲ��Դ�������T����������y�{�����L����ɴ������� 2023-07-14
- ������/�������n�}�M�������/����ϩ������ͪ�{�ͺϲ����ڹ����Ќ��F(xi��n)�^������Ч�ʸ��_23.8%��TTA���D�Q�l(f��)�⑪������Ϣ���� 2022-10-13
- �����������|�Fꠡ�Adv. Funct. Mater.�������ʰ댧�w��������÷�������h(hu��n)��/�ЙC���w�ͺϲ����³ɹ� 2025-09-21
- �п�Ժ�������MԺ���A�����b�ľ������������о�ȡ��ϵ���Mչ 2020-03-18
- �͵���W���ۄ��n�}�M��Ƹȼ��늳ء���x��늳ؼ����b���Ϸ���ʿ��Ϳ������� 2018-03-01
- ɽ�|��W�������ڈF� ACS Nano: Ӳ�ȿ��{�ľ��Ҷ����{���w���{��(ji��)�{��-��������ã���������ˎ���f�� 2025-06-12
�\���Pע�߷��ӿƼ�
- 2026����ߌ��Ї�����Ұl(f��)չ...
- �����IƱح300+���h��I(y��)�R��...
- �P���Ж|�����L���Ѓx�����{...
- �f����Ŀ �ذ��_�֣�2025�C...
- ICIE���H(�V��)Ϳ�Ϲ��I(y��)չ�[...
- �_չ�ڼ����ۄ�������朄�δ...
- 9������Ҋ���£�AI��+���a...
- �P���e�k�ڶ�ʮ�����Ї����H...
- �R�ۼ�˃x�� ����ȫ���̙C ...
- CPHI����չ����҃x���c�O��...
- ���ܹ��A��朆���������22��...