�ܲ��φ��w�Y(ji��)��(g��u)�R��ߴ�Ч��(y��ng)��5-7nm����Ӱ����ߴ�С��5nm���w�����w�������ڿ��ٵ��ɳڄ����W(xu��)���F(xi��n)��������Ե�Һ�w�������볬��������ú��w�����w�g��(qi��ng)������Õ���(d��o)�²��ϴ��ԡ����������С�ߴ��ҟo����������õ��w�����w�혋(g��u)��ճ���Բ�����һ��(g��)�dz���������(zh��n)�ԵĿƌW(xu��)�y�}������ԓ�n�}�M���ڌ����{���Ӵػ��s�����ϵ�ϵ�Ќ�(sh��)�(y��n)����Փģ�M�о���Angew. Chem. Int. Ed.2021, 60, 22212-22218��Angew. Chem. Int. Ed.2021, 60, 4894-4900���l(f��)�F(xi��n)��ͨ�^����(zh��n)�ϳɶ��Ӽ������W(xu��)��?f��)���ӴؽY(ji��)��(g��u)�IJ��Բ��H������Ч���Ƃ��y(t��ng)���φ��w�Y(ji��)��(g��u)���R��ߴ�Ч��(y��ng)��5-7nm����Ӱ�����(sh��)�F(xi��n)�@Щ�w������ճ�����ܵ���Ч�{(di��o)�������Ҿ���(zh��n)�Ķ��Ӽ��Y(ji��)��(g��u)��ԪҲ���Ԏ����҂��J(r��n)�R���������²��ϵĶ༉�Y(ji��)��(g��u)�����W(xu��)�����W(xu��)���ܵ��P(gu��n)ϵ��
���M(j��n)һ���Ķ����^�C(j��)���о��������γ����ڈF(tu��n)�(du��)������о���ʾ����?f��)���Ӵ��g������ÿ����x����Ϫ�(d��)�ص�ճ���ԣ�J. Phys. Chem. Lett. 2022, 13, 7009?7015����ͨ�^����Y(ji��)��(g��u)���_�ā��{���w�����������ͻ\�ξ۱�������飨OPOSS��������(zh��n)��(g��u)���˾��в�ͬ��?f��)�Y(ji��)��(g��u)�ġ����Ӵػ��Ѿ��w���������w�������w���ľ��w�����c��OPOSS��ճ���B(t��i)��ͬ�����Ӵػ��Ѿ��w��ճ���Կ���ͨ�^��?f��)�������M(j��n)���{(di��o)�ء�
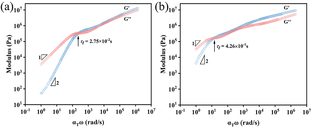
С��X�侀ɢ�䣨SAXS�������ڱ������ӴعѾ��w���^�ѷe�Y(ji��)��(g��u)���Y(ji��)���@ʾԓ�����wϵ�Л]���L������ͳ����ӽM�b�Y(ji��)��(g��u)�������^�쵽�˷��Ӵ��g�ľo�ܶѷe��q*���Y(ji��)��(g��u)�����Ӵ��g����?f��)�����Á�Դ���@Щ�ܶѷe�ĽY(ji��)��(g��u)���D1����

�D1. ���{���Ӵػ������w�ĺϳɲ��ԺͽY(ji��)��(g��u)����
С����ʎ������׃�yԇ�ͷ��ӄ����W(xu��)ģ�M�Y(ji��)���C��(sh��)���Ӵ��g���ܶѷe�M�����һ��(g��)caging�����W(xu��)���^�������M(j��n)��������(li��n)�W(w��ng)�j(lu��)���γ����@Ҳ������������⏗�Ե���Ҫ��Դ���D2����

�D2. ���{���Ӵػ������w�ĸߏ��Ժ�caging�����W(xu��)
��ԓ���Ϙ�Ʒ�M(j��n)һ��������yԇ���Y(ji��)���@ʾԓ�����wϵ���һ���Ą��Ժ��g����ͬ�r(sh��)�������õĻ֏�(f��)�ԺͿ��ٿ��ټӹ��������ӄ����W(xu��)ģ�MҲӡ�C�����ϽY(ji��)�������������l��늜yԇ�@ʾ������?f��)���ӴؽY(ji��)��(g��u)�x���˲������@�Ķ��Ӽ��Y(ji��)��(g��u)�����W(xu��)������ԓ���Ͼ���һ����������ɢ�������D3����

�D3.���{���Ӵػ������w�����W(xu��)���ܺͶ��Ӽ��Y(ji��)��(g��u)
�M(j��n)һ��ͨ�^���ս�ɭ�U�Ϳ՚��ڌ�(sh��)�(y��n)���@ʾԓ���Ͽ��Գ���1700 s-1�ě_�������21 m/s���ӏ��_��������չ�F(xi��n)�����ٵĿ��ټӹ������֏�(f��)�ԺͿɻ����������ӄ����W(xu��)ģ�M�o����������ɢ���^�C(j��)�ƣ����Ӵؿ����ɳ������ײ��(sh��)�F(xi��n)�������f��ͬ�r(sh��)����朵ąf(xi��)ͬ�\(y��n)��ʹ������ɢ�������˾ֲ����������У��M(j��n)һ������OPOSSs֮�g����Ħ�����Ķ���Ч��ɢ�������D4����

�D4. ���{���Ӵػ������w�Ŀ��_�����ܺ�������ɢ�C(j��)��
�D5. ���Ӵض����w�ĺϳɲ��ԺͽY(ji��)��(g��u)����
�D6. ���Ӵض����w����׃�W(xu��)����
�D7. ���Ӵض����w�Ķ��Ӽ��Y(ji��)��(g��u)
�D8. ��ͬ�����B���Ӷ����w�ķ��ӄ����W(xu��)ģ�M
�B���ӄ��Ե�С׃�������(d��o)�²��ϙC(j��)е���ܵ����@��׃��ͨ�^���ӄ����W(xu��)ģ�M�͙C(j��)���W(xu��)��(x��)�C���ˁ��{�׳߶ȵķ��Ӵ��g�����P(gu��n)�����W(xu��)��Ҫ���B���ӵ��D(zhu��n)�ӄ����{(di��o)�أ��ܷ��Ӵسߴ�Ӱ푺�С��
�����о���������(sh��)�(y��n)��ģ�M��Ч�Y(ji��)��������ˌ���?f��)�����ú��^�Y(ji��)��(g��u)�{(di��o)��ճ���Ե����������遆�{�׳ߴ����_�l(f��)���͏����w�����_������;����
Փ��朽ӣ�
https://pubs.acs.org/doi/10.1021/acs.jpclett.2c01817
https://doi.org/10.1039/D2SC03651G
- �����������ڈF(tu��n)�(du��)�c������ Sci. Adv.���ĩ�˼��l(f��)�L朷��Ӳ����ąf(xi��)ͬ�\(y��n)�� 2025-11-28
- �㽭��W(xu��)�����о��T�F(tu��n)�(du��) Adv. Mater.����(sh��)�־��W(w��ng)�j(lu��)��?f��)�Y(ji��)��(g��u)��(sh��)�F(xi��n)�����Һ�������w��(g��u)�� 2025-10-27
- ������������ֽ��������½������w�θ����ڈF(tu��n)�(du��) NSR������ˎ��(x��)����Ⱦ���\(y��n)�Ӳ�λ��(chu��ng)��ȫ�^�̹�����ȡ�����M(j��n)չ 2025-06-12
- �Ϻ�������ν���/����M(j��n)����/���ӽܽ��� Nat. Commun.��ճ�������w�НL݆�ĵ����О� 2026-02-27
- �|�A��W(xu��)������/���ܫh�F(tu��n)�(du��)��Adv. Mater.���� ���Ќ���ճ����ƽ�_���x��Һ�w���z���ڷ������߱�����(j��ng)���� 2026-02-14
- �|���ִ�����ع����½��ڈF(tu��n)�(du��) ACHM��ľ�|(zh��)���T��(d��o)�ij�����������������(sh��)�F(xi��n)�������ͻ�� - ���ƌ�(d��o)���cճ���Եġ����Y(ji��)�� 2026-01-16
�\���P(gu��n)ע�߷��ӿƼ�
- 2026����ߌ��Ї���(sh��)�(y��n)�Ұl(f��)չ...
- �����I(l��ng)Ʊح300+���h��I(y��)�R��...
- �P(y��ng)���Ж|�����L���Ѓx�����{(l��n)...
- �f����Ŀ �ذ��_����2025�C(j��)...
- ICIE���H(�V��)Ϳ�Ϲ��I(y��)չ�[...
- �_չ�ڼ����ۄ�������朄�δ...
- 9������Ҋ���£�AI�(q��)��+���a(ch��n)...
- �P(gu��n)���e�k�ڶ�ʮ�����Ї����H...
- �R�ۼ�˃x�� ����ȫ���̙C(j��) ...
- CPHI����չ��(sh��)�(y��n)�҃x���c�O(sh��)��...
- ���ܹ��A��朆���������22��...
- �K�ݴ�W(xu��)���ٽ��ڈF(tu��n)�(du��) Angew...
- ���ݴ�W(xu��)���S/���Ľ�/�Ώ�...
- �A���������γ����ڈF(tu��n)�(du��) Adv...
- �L����(y��ng)����ꐌW(xu��)˼/���@�F(tu��n)�(du��) ...
- �������T����/�ش�����/�A...
- �Ĵ���W(xu��)�O�o/���t�ɈF(tu��n)�(du��) AC...
- �������i�w/���v/����/����...
- �A�ƴ������о��T�F(tu��n)�(du��) JACS...
- ������/���f/�Y�� JACS���l(f��)...
- ��ɽ��W(xu��)��־�x�����w�����...
- ���������������ֈF(tu��n)�(du��) Angew...