�V������������/������B���о��T Macromolecules�����ۺ�������Һ�����{��ͨ���еĘ���-�ľ��Ե�ƿˢ�Y��
2022-10-01 ��Դ���߷��ӿƼ�
���ۺ����ѳɞ�һ��ЏV�����ڑ��õ��²����������ڳ�ܛ�����w�����Ӿ��w��ˎ��ݔ�͵ļ{���d�w���̼�푑�Ϳ�Ӻ�ƽ��ӡˢ�D���ȵȡ��_�l�@Щ���õ��țQ�l���ǜʴ_�������ۺ���朽Y���c���Ӆ������Pϵ��Ȼ�����W�g�����Ўׂ���Ҫ���}�д������������������-��֦机ͽ�֦�-��֦朵��ų��w�e��������Ӱ����朵ĽY�����ڶ����{����֦�ܶȻ��֦��L�Ⱦ��ɸ�׃�ų��w�e��������M��Ӱ����朵����w�Y�����Ƿ�Ɍ��Fһ�������������⣬�W�g��Ŀǰ������Pע���ۺ�����������Һ��B�µĘ����������������ޠ�B�µ�׃�����{��ͨ���н�֦�ܶȺͽ�֦��L�Ȍ����ۺ�����D׃��Ӱ����ԛ]�����_����
�D2��(a) ���{�ܵ�����H=7��Ng=3�r���朘����ģ�Mʾ��D��������s�քe��0��0.4��0.5��1��(b) ���{�ܵ�����H=10��Ng=9�r���朘����ģ�Mʾ��D��������s�քe��0.1��0.5��0.7��1��

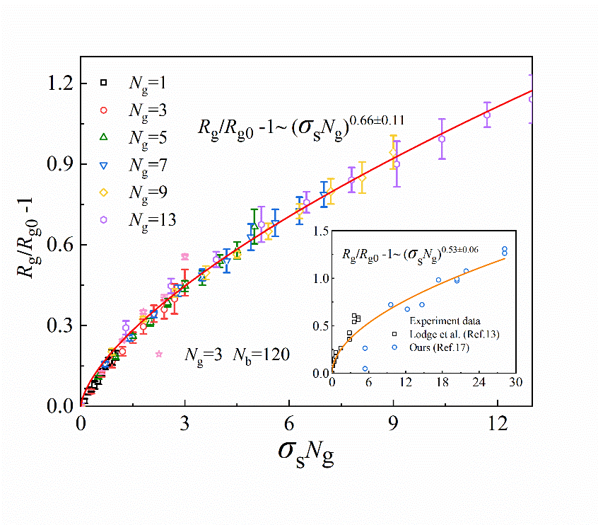
�D3�����机�����朱����Ļ��D�돽֮��(Rg/Rg0-1)�c��������(��sNg)��ָ���Pϵ��
ԭ��朽ӣ�https://doi.org/10.1021/acs.macromol.2c00822
����c��؟�����Ї��ۺ���Wԭ�����¡������ý�w�����D�d��Ոϵ�]�䣺[email protected]����Ոע����̎��
��؟�ξ���xu��
���P��
- �A��������W�O���ֽ��ڈFꠡ�Macromolecules�����ؓ�Y�����{�����ۺ���ճ�τ� 2023-02-18
- ����W/�Ї��ƌWԺ��W�S�x&��꿵���Angew�����طǹ��r�������i������ȫƽ�滯��ܗ�Ǽܵĵͳɱ��ЙC����ۺ���o�w���� 2025-11-06
- ����W/�Ї��ƌWԺ��W�S�x/��꿵� Angew�����Ӄȷǹ��r������ӷdz��h������w���/�������{�� 2025-10-10
- �Ĵ���W���������ڈF� Angew: ��ҕ�����ۯB�����D�ǘ����D׃�ğɹ�ۺ������ݼ��������ɫ�����ˎ���f�� 2025-07-11
- �㽭������W����ƽ��������븱���ڈF�PRL: �{�����ۺ�������W�{���·��� 2019-05-31
- �Ͼ����I��W�O���i���ڈF� Nat. Commun.���x�ӻ����{��ͨ��Ĥ���Fһ�����r��x�Ӹ�Ч���x 2024-09-01
- �Ͼ����I��W/�hꖴ�W��Prog. Mater. Sci .���C�������ܻ��{��ͨ��Ĥ 2023-07-23