�۱����fຘ�֬��һ�N������ǰ���V韵ĸ����ܟ���Ԙ�֬�����Ѓ����ğ᷀���ԡ�������Ĺ̻��տs�ʡ�Խ�ęCе���ܺͳ�ɫ���ͻ��W�����@�N�����ܘ�֬�ں��պ��졢���û��A�Oʩ����Ӻ�Ϳ�ϵȸ��и��I���ЏV���đ��á������fີĹ̻��C�������_�h�������S��ľۺϷ�����Ȼ�����_�h��������ĸߜؘO�����K�������ļӹ��Ժ����aЧ�ʡ���ˣ����ͱ����fີĹ̻��ض��ѳɞ�һ����Ҫ���о��I����Ŀ������߱����fີČ��H���á�

���գ��б���W���ǽ����n�}�Mᘌ����ͱ����fີĹ̻��ض��@һ�I�������о���ȼ���ϳɷ��ڱ����f��wϵ�еđ��ã��ڡ�Polymer���ڿ��l�����飺��High Performance Combustion Synthesis-Based Low-temperature Curing of Benzoxazine�������¡�ԓ���»���ȼ���ϳ�ԭ����ʹ��In(NO3) 3��Ga(NO3)3������������������ͪ��AcAcH������ȼ�ϡ�ͨ�^�γ��^�ɽ��������}��������ͪ��ǰ�w�ͺ�����l���B�m������߀ԭ�������ɵğ��������������fີ��̻��^����ԓ�����о�����ͬ�^�ɽ��������}��ȼ���ϳɌ������f����|��Ӱ푣����Lԇʹ���^�ٵ��^�ɽ��������}�_���A��Ч�����о��Y���������S��ǰ��w���������ӣ������f��Ĺ̻��ض���u������
ֵ��ע����ǣ��cIn-Acǰ��w��ȣ�Ga-Acǰ��w���F�����u�M�����ɿصğ�ጷţ����M�˸�����ľ������f����Y�����γɡ��@�N�Y��������������ȫ����߲��ϵ����ܡ����⣬�̻��^���Пo�C�w�����γ�Ҳ�����ϵ��^�Y�������a�������hӰ푡����w���f��In2O3�w���ֲ��ڮ��|�Y�����У��� Ga2O3�w���t�ֲ���������ĽY���������@�N��ͬ�ķֲ��ڸ��ƾ������f����w�ęCе���ܺ����g�Է���l�]���P�I���á�

�D1. DSC������(a)��ͬ��������I-A-p��(b)��ͬ������G-A-p��
5% PI-A-p�ij�ʼ�̻��ضȞ�102 ����5% PG-A-p�ij�ʼ�̻��ضȞ�97 �����@Щ�ض��cIn-Ac��Ga-Acǰ��w������߀ԭ�������P������߀ԭ�����a���˴����������Ķ������˱����fີ��_�h�ۺϡ�

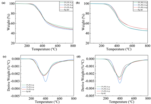
�D2. (a) Pp-Bf��1%��3%��5% PI-A-p��TGA������(b) Pp-Bf��1%��3%��5% PG-A-p��TGA������(c) Pp-Bf��1%��3%��5% PI-A-p��DTG������(d) Pp-Bf�� 1%��3%��5% PG-A-p��DTG������
ʹ�ß��ط�������TGA���u���� Pp-Bf �Լ���ͬ��ȵ� In-Ac��Ga-Acǰ��w�� N2����µğ᷀���ԡ��Y���������oՓ�����f��Г������In-Ac߀��Ga-Acǰ��w���@�ɷNǰ��w����������������f�5%��10%��ʧ�ضȣ�T5%��T10%��������5% In-Acǰ��w����������������f���800 ��C�r����̿����������5% Ga-Acǰ��w�H���������������f���800 ��C�r����̿�����c5% PI-A-p��ȣ�5% PG-A-p����̿�������^�����@����������������ϣ��Y�����γ����@�p�٣�N��O-�sȩȩ����ϣ��Y���Ĵ������ӣ��Լ�����扵��ΑB�l����׃����

�D3. (a) 3.5% NaCl 늽��|��Һ�е�Tafel������(b) 3.5% NaCl늽��|��Һ�� Pp-Bf��5% PI-A-p �� 5% PG-A-p Ϳ�ӵ�Nyquist�D��(c) Nyquist�ֲ��Ŵ�D��(d) Ϳ�ӵ���Ч�·�D��(e) ���o�C�ơ�
�����Mһ���о����g�λ�C�ƣ�������늻��W�迹����EIS������D3(b)����ֲ��Ŵ�D3(c)��ʾ���c5% PI-A-p��ȣ�5% PG-A-pͿ�ӱ��F�����������g�ԡ��@�����������������ͬ������ǰ��w��5% PG-A-p�����ɵ�����������^�ࡣͬ�r��5% PG-A-p��K���γɽY�������ľۺ�������@Щԭ�������f�Ϳ�ӃȲ��������ܣ��Ķ���Ч�p����Һ�̽��|��e�������Ϳ�ӵ����g�ԣ���K�����ˌ����ı��o��
�����о��õ���ɽ��ʡ��W�����Y���о��Ŀ���Ŀ��̖��2022-135����ɽ��ʡ�x����W�؇��ˆT�Ƽ���ӻ����Ŀ���Ŀ��̖��20220011����ɽ��ʡ�Ƽ��ɹ��D��������헣��Ŀ��̖��202204021301050���� ɽ��ʡ�о������`�����Ŀ���Ŀ��̖��2024SJ259�����Ŀ�Y����
Փ��朽ӣ�https://doi.org/10.1016/j.polymer.2025.128596
- �б���W���ǽ��ڈF� Polym. Chem.����������ӑB�I��������ɽ���۱����fີ��Ƃ估���� 2025-06-19
- �б���W���ǽ��ڈFꠡ����u��W���������� Polymer��һ�N���l�ͽ�늡����͟�۱����fີĽY���c���� 2024-10-23
- �б���W���ǽ��ڈFꠣ����ڷ�ú�һ���ʯ/߀ԭ����ʯīϩ/�����fີ���Чɢ�����Ϳ�� 2024-08-19
- ��ƴ���������־�� Adv. Mater.�����ÿs������ӑB�I�����ӑB���r-�����Ӆfͬ�W�j ���F�����ܿɻ��՟���Ԙ�֬ 2026-02-13
- �P�ݴ�W�ǵ·���ڈF� Biomacromolecules����(������-�O����)����Ԙ�֬�ľW�j�Y���{�� 2025-03-17
- �п�Ժ������������С���F� AM�C�������������������Ԙ�֬�о��Mչ 2024-03-30
- ���K��W��٩���ڈF� Macromolecules�����ж�݆�h�Y���ı����͜ع̻��ͱ����fຘ�֬ 2024-11-08