�{�߷��ӱ�Ĥ����׃�̈́�(d��ng)���W(xu��)��ָ��(d��o)�{�߷��Ӳ����ӹ��������Ҫ���A(ch��)��1970�꣬����˹�D��W(xu��)J. Starita��C. W. Macosko��B. Maxwell�_(k��i)�l(f��)����һ�_(t��i)���D(zhu��n)��׃�x�����������w�߷���������׃�ṩ�����������ǣ����ڼ{��(j��)�ĺ�ȡ��{�˼�(j��)�Ę�Ʒ�����߷�������Ĥ����׃�y(c��)����Ȼ��һ�(xi��ng)��Ҫ����(zh��n)�������l(f��)չ��һ�N���ڽ����(r��n)���T��(d��o)ܛ���w׃��(l��i)�о��߷��ӱ�Ĥ����𤏗�Ժͷ��ӄ�(d��ng)���W(xu��)�ķ�������(sh��)�F(xi��n)�ˌ��l����(n��i)�{�ױ�Ĥ��(ch��)��ģ����G''''���͓p��ģ����G''''''''���Ĝy(c��)������D1��

�D1. 600 nm��ȵľ۱���ϩ��Ĥ�ľ���𤏗�V��
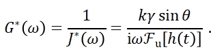
ԓ��������Һ�εı��揈���T��(d��o)�߷��ӱ�Ĥ�l(f��)����׃���ڱ�Ĥ����a(ch��n)������(r��n)��������ԭ�����@�R���Ԝy(c��)���@�N��׃��Ҋ(ji��n)�D2a�������ڹ��w���ԏ��Է��̣����������˝�(r��n)��݆���S�r(sh��)�g���ݻ��О��c�߷��ӱ�Ĥ��׃���P(gu��n)ϵ��ͨ�^(gu��)��(du��)��(r��n)��݆���M(j��n)�ДM�ϣ�����ͨ�^(gu��)��(r��n)�߶�h(t)�cJ(t)���P(gu��n)ϵ[h(t) = k��sin��·J(t)]�@�ñ�Ĥ��׃?n��i)��?/span>J(t)���M(j��n)һ�����Æ�߅�����~׃�Q����h(t)�D(zhu��n)�����l�����Ą�(d��ng)�B(t��i)����[J*(��)]���M(j��n)���@�ü{�ױ�Ĥ�Ą�(d��ng)�B(t��i)ģ��G*(��)��Ҋ(ji��n)��ʽ1���@ʹ��������ͨ�^(gu��)�^�읙(r��n)�����L(zh��ng)��(l��i)�y(c��)���߷��ӱ�Ĥ����׃�������ɳڡ�
��1��

�D2. ��a����(r��n)��݆���S�r(sh��)�g����׃����b����(r��n)�����S݆����ʾ��D��
��������ԓ�����о����{���۱���ϩ��Ĥ���ɳ��О飬�l(f��)�F(xi��n)��(d��ng)��Ĥ��Ƚ��͵�200 �C 300 nm����20Rg��Rg��߷��ӻ��D(zhu��n)�돽���r(sh��)����Ĥ�����zƽ�_(t��i)׃խ��ĩ���ɳڕr(sh��)�g�s�̣��������׳߶ȵ����ޕ�(hu��)���ٸ߷����ɳڡ���������˱����T��(d��o)�ļs��ጷ�Ч��(y��ng)��surface induced constraint release��SICR����(l��i)����@�N���׳߶��¸߷��ӄ�(d��ng)���W(xu��)������Ч��(y��ng)��SICRЧ��(y��ng)��ʾ��DҊ(ji��n)�D3�������ܵ�������������ã��c������|�߷���朵��p�Y(ji��)�����������ɳڼӿ죻�����������������ɳ���ጷ����c�ӷ����֮�g����?f��)?/span>�p�Y(ji��)���Ķ������ı����\(y��n)��(d��ng)�������f���Ӹ߷��ӡ��@�N���f����ͨ�^(gu��)��g����Á�(l��i)��(sh��)�F(xi��n)�����к��h(yu��n)�Ă��f���x����(d��o)����ȱ�Ĥ��(n��i)�߷����ɳڼӿ���

�C�ϣ������l(f��)չ��һ�N�y(c��)���{���߷��ӱ�Ĥ���l����𤏗�V�ķ������l(f��)�F(xi��n)�������T��(d��o)���p�Y(ji��)�s��ጷřC(j��)�����о��Y(ji��)�������Ƅ�(d��ng)�˸߷��ӱ�Ĥ��׃�����İl(f��)չ���������ˌ�(du��)���߷��ӄ�(d��ng)���W(xu��)����������������Interfacial Wetting-induced Nanorheology of Thin Polymer Films�����}�l(f��)����Physical Review Research�ڿ����㽭������W(xu��)���W(xu��)�c�����W(xu��)Ժ��ʿ���������Ͳ�ʿ����ȫӡ���һ���ߣ�������ڞ�ͨӍ���ߣ��_�\����ʿ�鹲ͬͨӍ���ߡ�ԓ�����ܵ���(gu��)����Ȼ�ƌW(xu��)������Y�����ڴ˱�ʾ���x��
ԭ��朽ӣ�https://doi.org/10.1103/PhysRevResearch.7.023226
�n�}�M朽ӣ�https://zuogroup.zstu.edu.cn/index.htm
- �Ͼ���W(xu��)���ı������n�}�M Polymer���߷��ӱ�Ĥ���͵đ�(y��ng)���ɳ��{(di��o)�ؙC(j��)�� 2025-05-25
- �������������n�}�M Macromolecules���ؑ�(y��ng)�������²����B(t��i)�߷��ӵ��ɳ��О� 2023-07-29
- �������������n�}�M��Prog. Polym. Sci.���C���������挦(du��)�����B(t��i)�߷��ӳ���Ĥ�Y(ji��)����Ӱ� 2023-07-09
- �Ϻ������៘���ں��Ȃ������о��T�F(tu��n)�(du��)����(g��u)���F(tu��n)�ۼ{������/�߷��ӏ�(f��)�ϲ��������Y(ji��)��(g��u)����(sh��)��ģ������(qi��ng)�����P(gu��n)ϵ����׃�W(xu��)����(g��u)ģ�� 2023-01-28
- �Ϻ���ͨ��W(xu��)�៘���ڈF(tu��n)�(du��)���ۺ���{��(f��)�ϲ����м{�����ӵ����ޔU(ku��)ɢ�����ɳھ���𤏗���О� 2019-11-12
- ����ܲ����c��׃�W(xu��)�о�����Macromolecules�ϰl(f��)��Փ�� 2016-02-26
- ���ݴ�W(xu��)���W(xu��)�W(xu��)Ժ�������ڈF(tu��n)�(du��)��Ƹ�̎�����ʿ�� - �߷��Ӻϳɡ����Ը߷��ӡ������ӽM�b���ܸ߷��Ӳ��ϡ�DFT�ͷ��ӄ�(d��ng)���W(xu��)Ӌ(j��)��ϳ�/�M�b 2026-01-12
�\(ch��ng)���P(gu��n)ע�߷��ӿƼ�
- 2026����ߌ��Ї�(gu��)��(sh��)�(y��n)�Ұl(f��)չ...
- �����I(l��ng)Ʊح300+���h��I(y��)�R��...
- �P(y��ng)���Ж|�����L���Ѓx�����{(l��n)...
- �f(w��n)����Ŀ �ذ��_(k��i)�֣�2025�C(j��)...
- ICIE��(gu��)�H(�V��)Ϳ�Ϲ��I(y��)չ�[...
- �_(k��i)չ�ڼ����ۄ�(sh��)������朄�(d��ng)δ...
- 9������Ҋ(ji��n)���£�AI�(q��)��(d��ng)+��(gu��)�a(ch��n)...
- �P(gu��n)���e�k�ڶ�ʮ�����Ї�(gu��)��(gu��)�H...
- �R�ۼ�˃x�� ����ȫ���̙C(j��) ...
- CPHI����չ��(sh��)�(y��n)�҃x���c�O(sh��)��...
- ���ܹ��A��朆���������22��...
- �m�ݴ�W(xu��)��褡������ Adv. ...
- ��Ҋ(ji��n)�⡰��(qi��ng)�����z𤄩������...
- �|�A��W(xu��)�������о��T/ʷ��...
- �칤����x/���ƽ��F(tu��n)�(du��) ACS ...
- ������������ֽ��ڈF(tu��n)�(du��) Nat...
- �Ͼ��֘I(y��)��W(xu��)�̳��(y��ng) Matter...
- ����������W(xu��)����/��ӯ�� A...
- �L(zh��ng)����(y��ng)����ꐌW(xu��)˼/���@/����...
- �A��������W(xu��)�����x����/...
- �m�ݴ�W(xu��)�����܈F(tu��n)�(du��) Adv. Ma...
- ����W(xu��)�����h(yu��n)���ڈF(tu��n)�(du��) AFM...