Ƕ�ι������z����һ���Ҫ���ԽM�b�{�Y�����V��������ˎ���f��ϵ�y���{�ײ����Ƃ�ͽ��滯�W���I��Ȼ�����������γɺ̈́ӑB��׃�^�����s���y�Ԍ��r�������F���z���M�b�О�ľ��_�����c���܃���һֱ���R�ش�������ˣ��lչ�܉r��ԭλ�O�y�z���γ��c��׃�^�̵ı������g���ɞ鮔ǰ���ϿƌW�ͻ��W�о��е�һ���P�I�n�}��
���գ��A��������W���ָ����ڈF��ڲ��ϿƌW֪���ڿ���Small���ϰl����һ���Ҫ�о��ɹ���ԓ�F꠲��Õr�g�ֱ�С��X�侀ɢ�䣨TR-SAXS�����g���ɹ����F�ˌ��ۣ�2-���������һ�����ϩ�������C�ۣ�2-�����������������һ�����ϩ��������PDMA-b-PDPA���ژO���܄����M�оۺ��T���ԽM�b��PISA���^�̵Č��r�O�y���@һ����ʹ���о��ˆT�܉��״�����ۙ����ʾ��ԓ������z���ijɺ˵����L�ĄӑB��׃·�������OӋ���ܻ��z�������ṩ���P�I�C�������c����֧�Ρ�
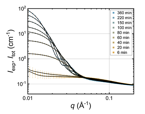
ԓ�о����Ȍ����� PISA �����Ƃ��PDMA�CPDPA��Ƕ�ι������ڻ�ϘO���܄��е���ò�M��ϵ�y���죬�l�F�����WЧ�������½Y�������ԡ���@�ÿɿ��z���wϵ���о��ˆT�x��60/40 (w/w)���Ҵ�/ˮ�������܄���ʹPDMA�CPDPA�����γ������z���������@һ�����Y�����F��Mһ���Y��TR-SAXS����c����ģ�����D1�����@ȡ���P�ڷ����M�̡��w���ߴ��ݻ����Ȳ��M��׃�����P�I��Ϣ���D2����

�D1 ʹ��TR-SAXS���g��ۙ��PISA��ʽ�Ƃ��PDMA�CPDPA�z���ɺ��c���L�^��

�D2 ��TR-SAXS���������@�õ�PDMA�CPDPA�z���ɺ��c���L�^���гɷ��D׃�c�w���ߴ�׃��
���� SAXS �Ķ���������ԓ�о�ͨ�^�����z���ߴ��c����ˮ朶ξۺ϶ȣ�DPco��֮�g��ָ���Pϵ����ʾ�� PISA �^���Ѓ�Ƕ�ι������z���˃ȵ����B�D׃���D 3�����ڳɺ��A�Σ�ֻ��������D�Ƅ���macro-CTA���ṩ�ۺ�λ�c���S���γ��܄����ij�ʼ�z���ˡ��S���ۺϷ������M���܄���u�ų����S���ں˃�һ�����������ı������z���ߴ��ڴ��A�α��ֺ㶨���S���M�� ��1 �A�Σ��z���_ʼ���m���L�����ڷ�����ë�������M�У����|�l�����ޣ�ʹ�о��ˆT����ͨ�^�z���ۼ����^�쵽�z���ںϼ��ɴˮa����朶�����Ч������2�c��4�A�Σ������ں����Üp����朶��ɳڌ�������xЧ���p������3�c��5�A�Σ����Y�������O���܄��wϵ�� PDMA�CPDPA �w�����o�BSAXS������֪����1����3�c��5�A�ξ��������A�y��K�z���ߴ磬�f���@Щ�A�δ����^�鷀�������B������˃�朶���չ�̶�����������@�N�Դ�ڳ��ڳɺ��c�S����ںϠ�B���Mһ����TR-SAXS �Y���@ʾ�z���Ȳ��������������w���@�c��ǰ�ڷǘO���܄��wϵ�е��о���Angew. Chem. Int. Ed. 2024, 63, e202312119���@����ͬ�������Ɯy���@�N���w�Ľ��c�������L����Դ���wϵ�������Һ�ۺ��������҆��w�Uɢ�����h���ھۺ����ʡ�

�D3 PDMA�CPDPA�z���ɺ��c���L�^���к˃ȵ����B�D׃
�@��о�����ʹ��TR-SAXS���g���ژO���܄����M�е�PISA�^���M�и�ۙ�c������������ʾ��PISA�^�����z���ijɺ��c���L�^�������H�ṩ��һ�����m�Č���c��ģ��ܣ�Ҳ���������� PISA �C���͌��F���ԽM�b�Y���ľ����{�ص춨�˻��A�����߷��Ӽ{�ײ��ϵ��OӋ�c���þ�����Ҫ�Ƅ����á�
ԓ��������Time-Resolved Small-Angle X-Ray Studies of Spherical Micelle Formation and Growth During Polymerization-Induced Self-Assembly in Polar Solvents�����}�l���ڡ�Small���ϣ�Small, 2025, e08262.����
���¹�ͬ��һ�������A��������W�Tʿ�о���÷�������F�¼�������W��ʿ�о���������ʿ�о������N��ʹTʿ�о����֞t�{������ͨӍ���ߞ��A��������W��ʿ���·�����ʿ���A��������W���ָ����ڡ�ԓ�о��õ�������Ȼ�ƌW���𣬏V�|ʡ���A�c���û��A�о����𣬏V��GJYC�Ŀ���Ї���ʿ��ƌW�����֧�֡�
ԭ��朽ӣ�https://doi.org/10.1002/smll.202508262
- ����ꐐ��A�����n�}�M��Macromolecules�������xԭλ��������߾ۺ��T���ԽM�b�Ƃ�ķ����p�B�m�Y���ķ����� 2025-10-08
- ��ʿ�m��W/���ִ�W���� Angew������ PISA - �����{����ò���²��Լ��俹�ۿ������� 2025-08-21
- �A��������W���ָ���ڈF� Small���Ծۺ��T���ԽM�b�����Ƃ��c�{�ؾ��Є���ֱ朳ɺ�朶ε����Һ���{���w�� 2025-07-13
- ������W�����n�����n�}�M Macromolecules: ��Ƕ�ι������ڸ߷����܄��еġ��� �����ɡ��z�� 2023-08-29
- ���ϴ�W��ӡ����/�x�Ơ��´�WSteven P. Armes���ڡ�Chem. Mater.��: ���{���� 2022-04-06
- ���_��W�������о��T�n�}�M��RAFT��ɢ�ۺ�ԭλ�ϳ�coil-coil�̓�Ƕ�ι�����{�ܺܠ�Ag/�ۺ���{�ͺϲ��� 2017-10-12
- ���ݴ�W�����ƽ��ڈFꠡ�Acta Biomater.����ˎ����;ۺ���{���z�������[���LЧ�ί����о��ɹ� 2025-07-08